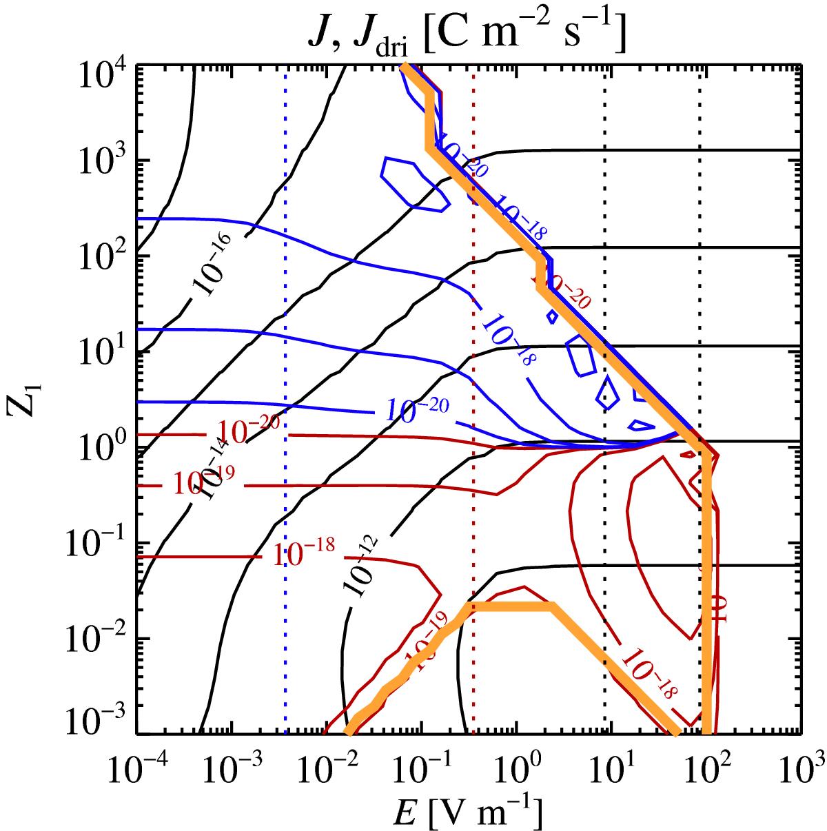
Fig. B.3

Neutralising gas current J (black contours) and drift current Jdri (red for positive current and blue for negative), as a function of electric field E and dust metallicity Z1. The total current of the solids is separating to the left of the thick yellow zero-line and neutralising to the right of the zero-line. The drift current is at best 2–3 orders of magnitude smaller than the neutralising gas current.
Current usage metrics show cumulative count of Article Views (full-text article views including HTML views, PDF and ePub downloads, according to the available data) and Abstracts Views on Vision4Press platform.
Data correspond to usage on the plateform after 2015. The current usage metrics is available 48-96 hours after online publication and is updated daily on week days.
Initial download of the metrics may take a while.