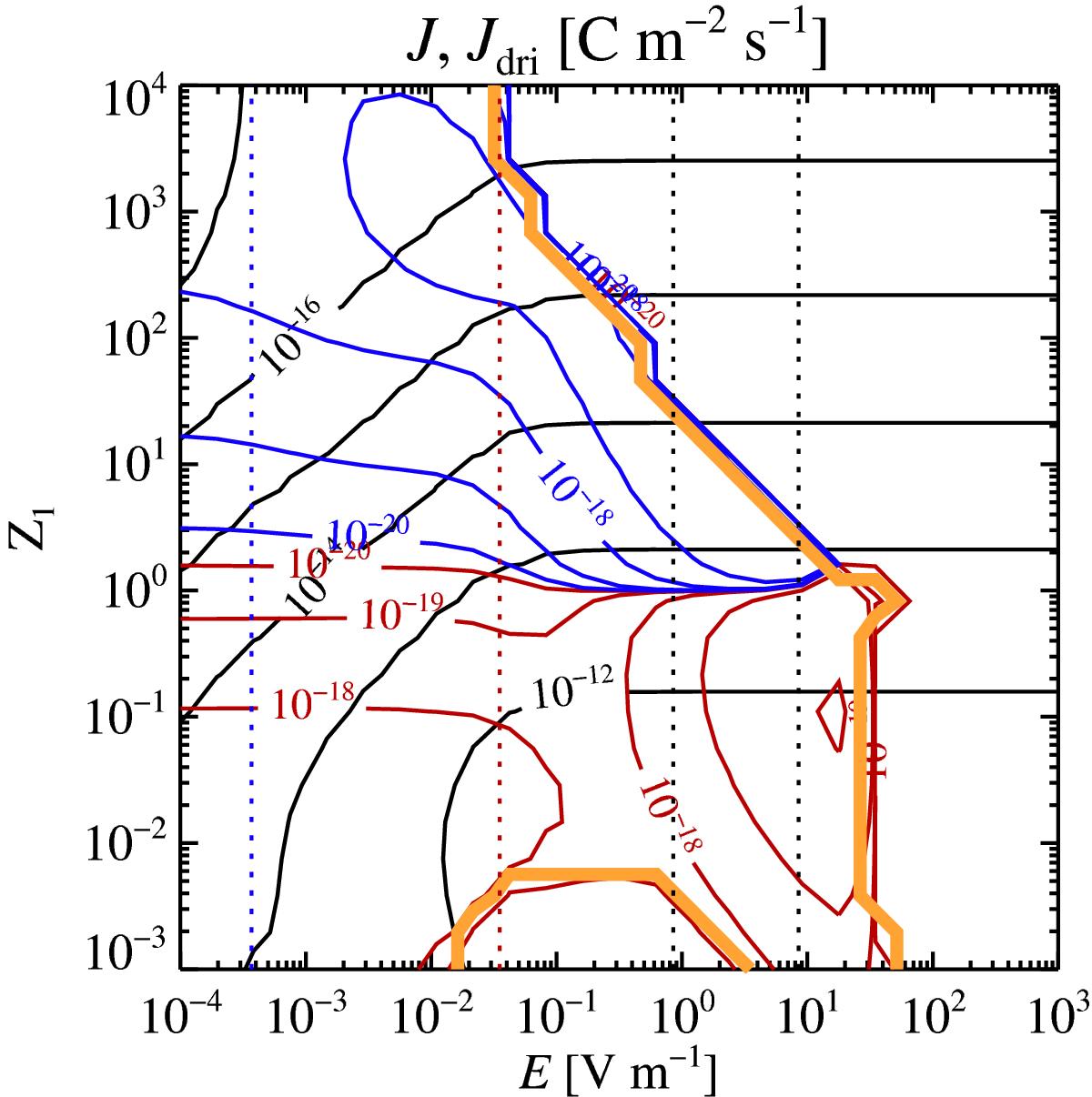
Fig. B.4

Neutralising gas current and drift current for a model with reduced 26Al abundance (10% of nominal value) and decreased gas density (ρg = 10-8 kg m-3). Both the neutralising gas current and the breakdown value of the electric field are a factor 10 lower than in Fig. B.3, but the drift current is still at least a factor 10 too small to compete with the neutralising current.
Current usage metrics show cumulative count of Article Views (full-text article views including HTML views, PDF and ePub downloads, according to the available data) and Abstracts Views on Vision4Press platform.
Data correspond to usage on the plateform after 2015. The current usage metrics is available 48-96 hours after online publication and is updated daily on week days.
Initial download of the metrics may take a while.