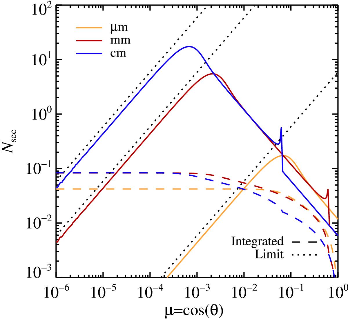
Fig. D.1

Secondary electron production versus the incident angle μ = cos(θ) for particles of radii μm, mm and cm. The secondary electron production rises with decreasing μ and experiences a jump at the angle when the positron penetrates all the way through the solid. Finally, the secondary electron production falls when the pathway through the particle is short at very low μ (dotted line). The integrated yield (dashed lines) is about 0.08 for mm and cm solids and 0.04 for μm solids.
Current usage metrics show cumulative count of Article Views (full-text article views including HTML views, PDF and ePub downloads, according to the available data) and Abstracts Views on Vision4Press platform.
Data correspond to usage on the plateform after 2015. The current usage metrics is available 48-96 hours after online publication and is updated daily on week days.
Initial download of the metrics may take a while.