Free Access

Fig. 3

image

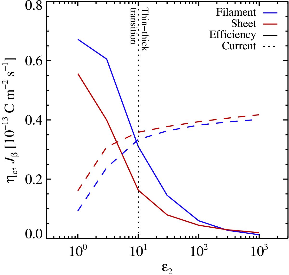
Charging efficiency (solid lines) and current density (dashed lines) as a function of the mass loading in pebbles, for both 1D filaments (blue lines) and 2D sheets (red lines), for a characteristic structure width of 3000 km. The charging efficiency is high at low pebble densities when the positrons can escape freely from the structure, but falls for high pebble densities due to self-absorption of positrons within the structure. The current behaves oppositely: at low pebble densities the current is low, since the structure is thin to its own positron emission, while the current density plateaus around the characteristic value of 3.6 × 10-14 C m-2 s-1 for high pebble densities.

Current usage metrics show cumulative count of Article Views (full-text article views including HTML views, PDF and ePub downloads, according to the available data) and Abstracts Views on Vision4Press platform.

Data correspond to usage on the plateform after 2015. The current usage metrics is available 48-96 hours after online publication and is updated daily on week days.

Initial download of the metrics may take a while.