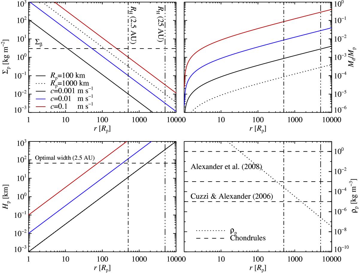
Fig. 4

Conditions for the nuclear battery effect in circumplanetesimal discs. The top left plot shows the pebble column density as a function of the distance from the planetesimal, for two values of the planetesimal radius (Rp = 100 km and Rp = 1000 km) and three values of the random pebble speed c. The vertical dot-dashed lines indicate the Hill radius at 2.5 AU and 25 AU, respectively, and the horizontal dashed line indicates the stopping column of positrons. The pebble column density is below the stopping column of positrons in the outer region of the circumplanetesimal disc, unless the random pebble motion is very high, so positron emission leads to an efficient charging of the circumplanetesimal disc. The top right plot shows the integrated disc mass relative to the mass of the central planetesimal. The small planetesimal has a relatively more massive disc than the larger protoplanet and hence can convert a higher fraction of the central mass to chondrules. The bottom left plot shows the scale-height of the pebble disc. The stopping length of positrons at the breakdown value of the electric field is indicated for the nominal breakdown current at 2.5 AU. The bottom right plot shows the mid-plane density of pebbles compared to the minimum pebble density required for lack of isotopic fractionation and stability of the liquid phase by Cuzzi & Alexander (2006) and the density range implied by the observed high abundance of Na within chondrules by Alexander et al. (2008). The pebble density in the circumplanetesimal disc environment lies perfectly within these experimental constraints.
Current usage metrics show cumulative count of Article Views (full-text article views including HTML views, PDF and ePub downloads, according to the available data) and Abstracts Views on Vision4Press platform.
Data correspond to usage on the plateform after 2015. The current usage metrics is available 48-96 hours after online publication and is updated daily on week days.
Initial download of the metrics may take a while.