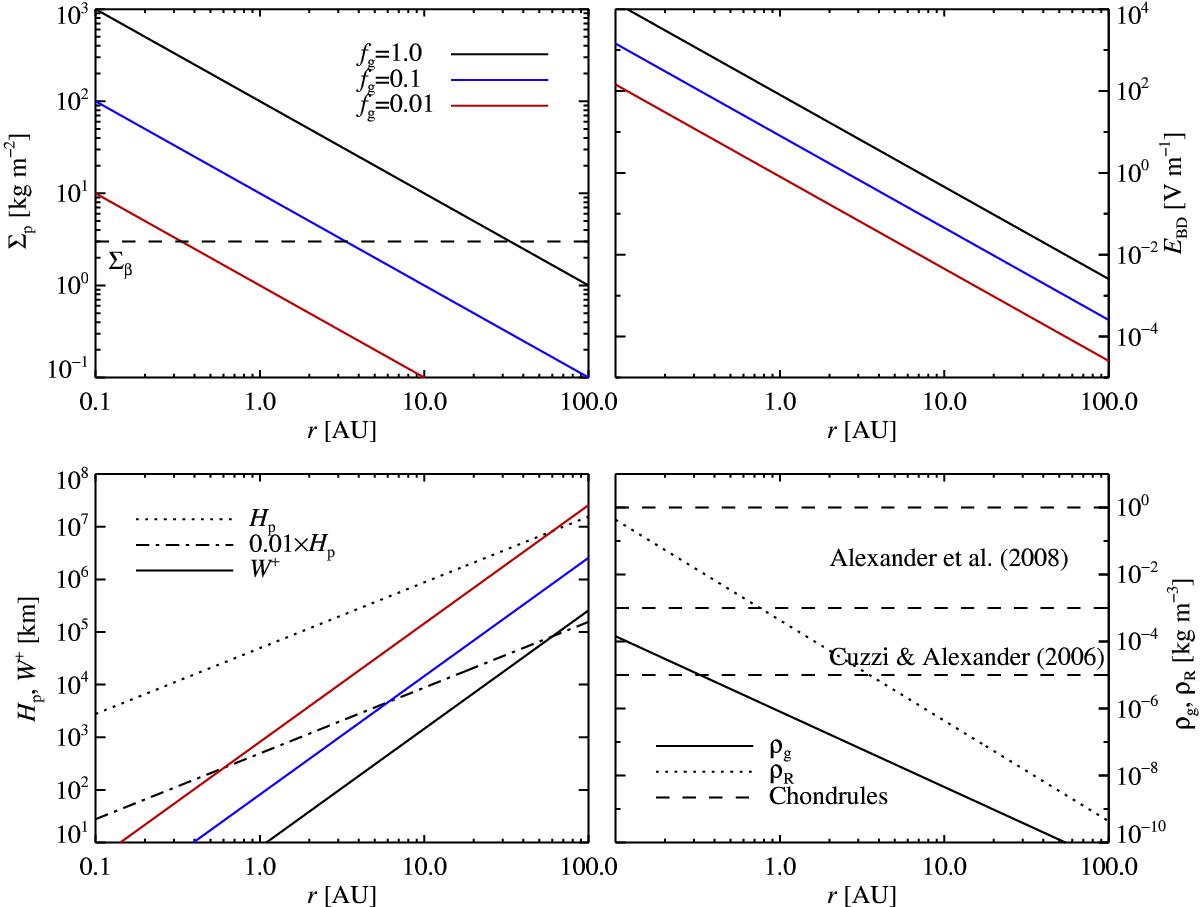
Fig. 5

Conditions for the nuclear battery effect in the protoplanetary disc mid-plane. The top left plot shows the pebble column density for three values of gas depletion fg and the stopping column of positrons. The mid-plane layer transitions from optically thick to optically thin to positron stopping at a gas mass of 10% of the nominal value in the asteroid belt. The top right plot shows the breakdown value of the electric field. The bottom left plot shows the scale-height of the mid-plane layer (dotted line) together with the stopping length of the positrons at the breakdown value of the electric field. The mid-plane layer is clearly much thicker than the optimal thickness for transferring the positron energy to the electric field, but substructures of 1% of the mid-plane thickness are more in agreement with the optimal width (dot-dashed line). The bottom right plot shows the mid-plane density of gas, the Roche density and the conditions for chondrule formation. The lack of isotope fractionation and stabilisation of melted silicate can be achieved at solids-to-gas ratios of 10 (at 1 AU) to 100 (at 2.5 AU), but the stricter density conditions imposed by the observed high abundance of Na (Alexander et al. 2008) can only be achieved interior of 1 AU where the Roche density is high.
Current usage metrics show cumulative count of Article Views (full-text article views including HTML views, PDF and ePub downloads, according to the available data) and Abstracts Views on Vision4Press platform.
Data correspond to usage on the plateform after 2015. The current usage metrics is available 48-96 hours after online publication and is updated daily on week days.
Initial download of the metrics may take a while.