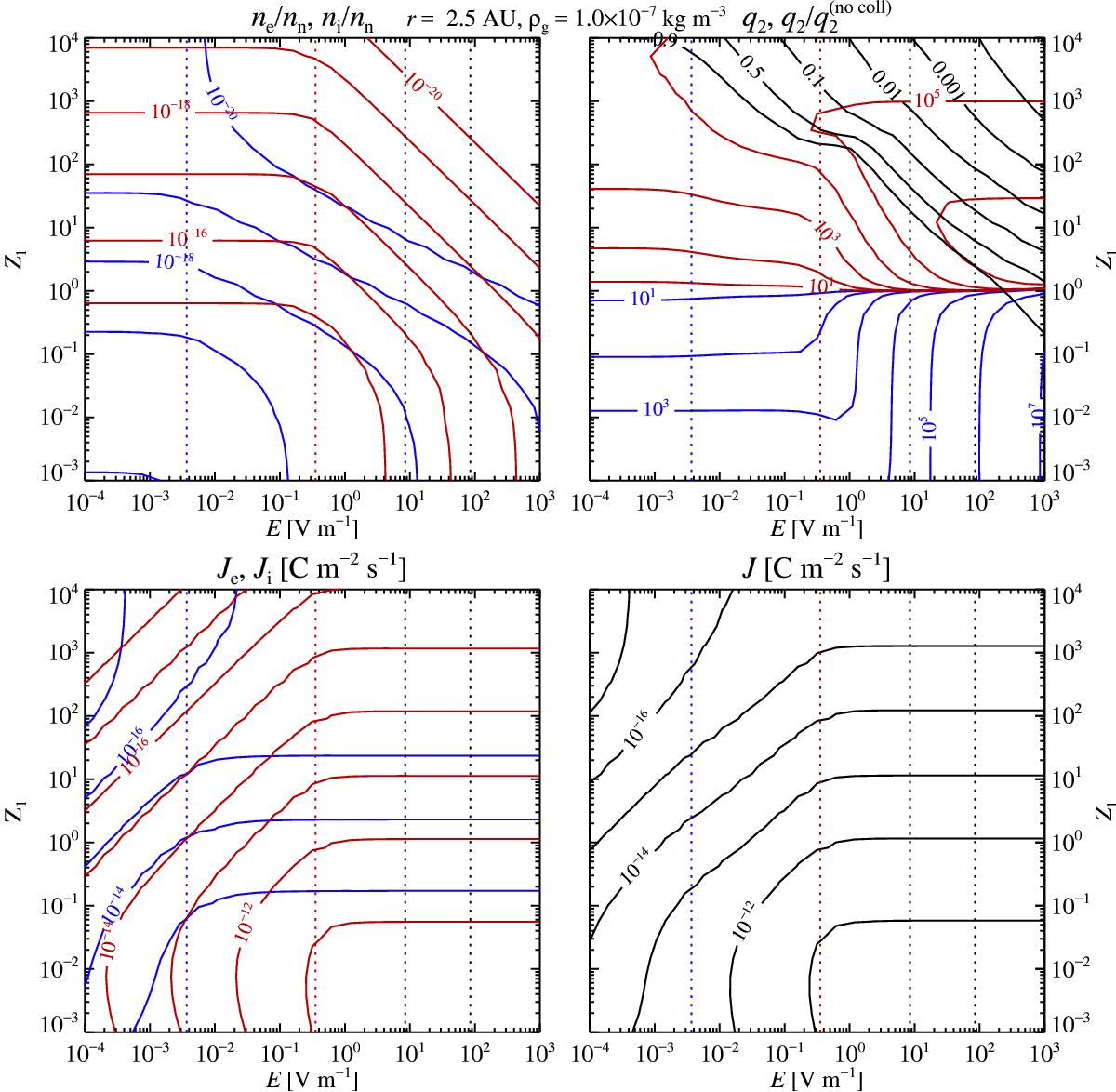
Fig. B.1

The electron and ion densities (top left; blue lines indicate electrons and red lines ions), the pebble charge (top right, blue lines indicate negative charge, red lines positive charge, black lines the charge relative to a model that neglects charge transfer in dust collisions), the electron and ion currents (bottom left) and the total current (bottom right). The electron and ion critical fields are marked in blue and red dotted lines, while the break down electric field is shown with black dotted lines (we show both the nominal value and a value ten times lower relevant when taking into account the distribution of electron energies). The positive pebble charging is mainly due to the emission of secondary electrons as positrons penetrate dust surfaces. The equilibrium charge increases with increasing field strength, since the field accelerates electrons and ions to high speeds, thus increasing the collision rate with the charged pebbles.
Current usage metrics show cumulative count of Article Views (full-text article views including HTML views, PDF and ePub downloads, according to the available data) and Abstracts Views on Vision4Press platform.
Data correspond to usage on the plateform after 2015. The current usage metrics is available 48-96 hours after online publication and is updated daily on week days.
Initial download of the metrics may take a while.