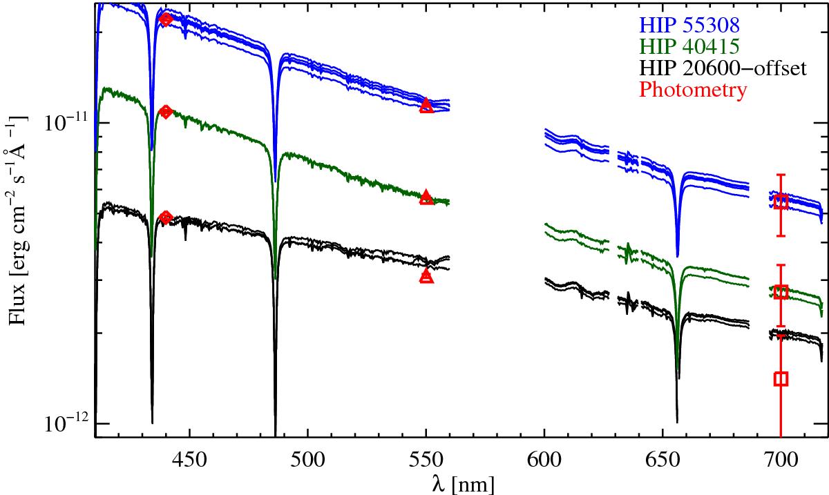
Fig. 1

Comparison of telluric standards HIP 55308 (blue), HIP 40415 (green) and HIP 20600 (black), observed in different epochs (multiple instances of one color), with literature photometry (red) in the B-band (diamonds), V-band (triangles), and R-band (squares). The spectra of HIP 20600 and the corresponding photometry are displayed with a constant offset of 1 × 10-12 erg s-1 cm-2 Å-1.
Current usage metrics show cumulative count of Article Views (full-text article views including HTML views, PDF and ePub downloads, according to the available data) and Abstracts Views on Vision4Press platform.
Data correspond to usage on the plateform after 2015. The current usage metrics is available 48-96 hours after online publication and is updated daily on week days.
Initial download of the metrics may take a while.