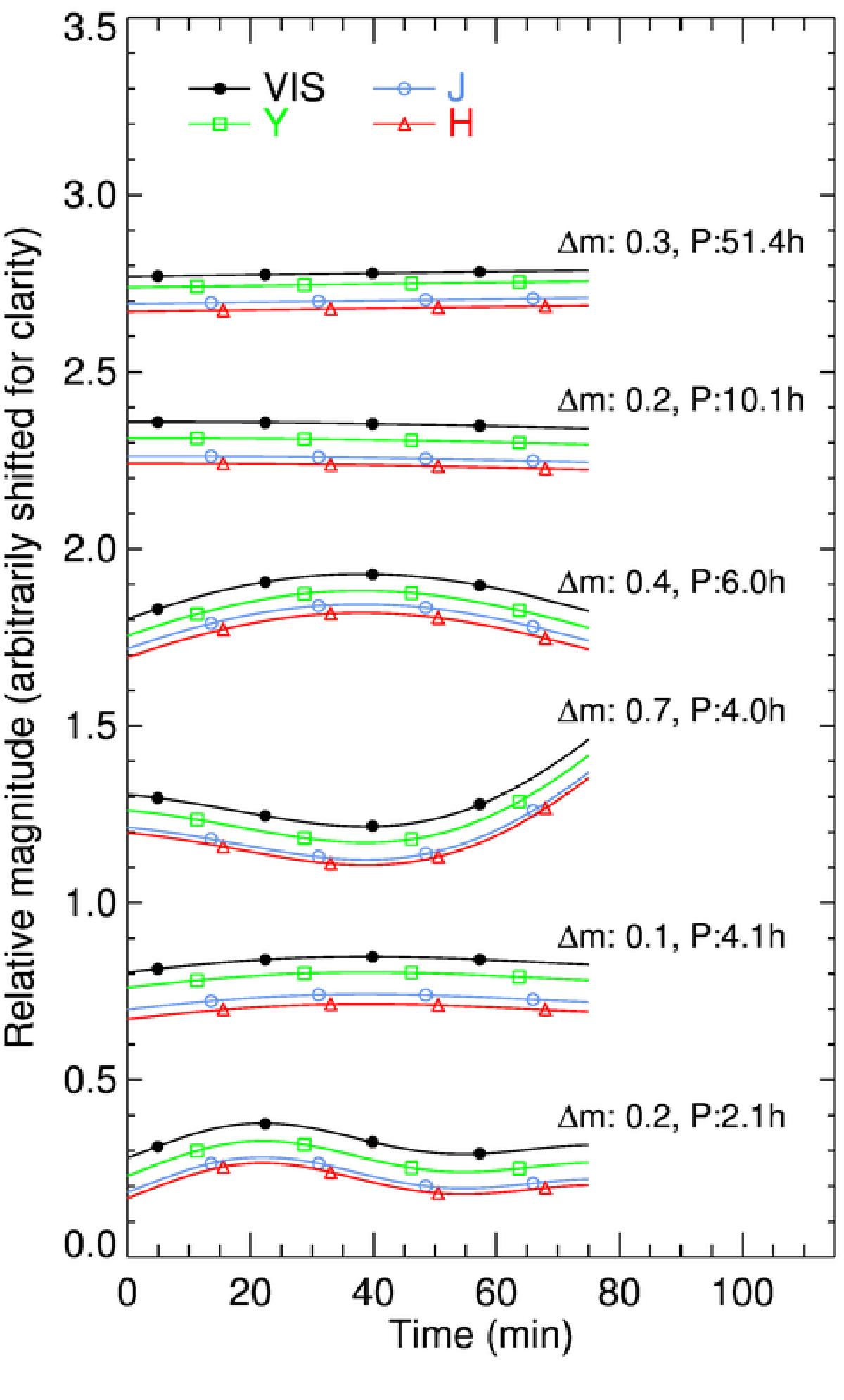
Fig. 10

Examples of simulated SSO multi-filter light curves as observed by Euclid VIS and NISP. For each light curve, the amplitude (Δm) and rotation period (P) is reported. For each, the four light curves corresponding to the different filters are printed (with a magnitude difference reduced by a factor 10 for clarity), together with the photometry at the cadence of Euclid.
Current usage metrics show cumulative count of Article Views (full-text article views including HTML views, PDF and ePub downloads, according to the available data) and Abstracts Views on Vision4Press platform.
Data correspond to usage on the plateform after 2015. The current usage metrics is available 48-96 hours after online publication and is updated daily on week days.
Initial download of the metrics may take a while.