Free Access
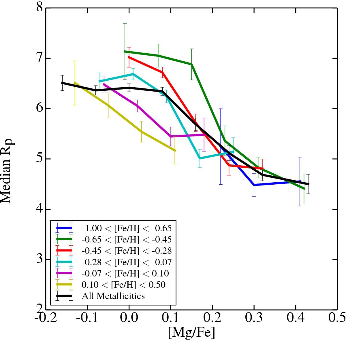
Fig. 6

Distributions of perigalacticon across a range of metallicity between −1.0 < [Fe/H] < 0.5 as a function of [Mg/Fe]. The lower [Mg/Fe] stars have RP concentrated in the solar neighborhood, while the bulk of the higher [Mg/Fe] stars have orbits that take them to the inner disk.
Current usage metrics show cumulative count of Article Views (full-text article views including HTML views, PDF and ePub downloads, according to the available data) and Abstracts Views on Vision4Press platform.
Data correspond to usage on the plateform after 2015. The current usage metrics is available 48-96 hours after online publication and is updated daily on week days.
Initial download of the metrics may take a while.