Free Access
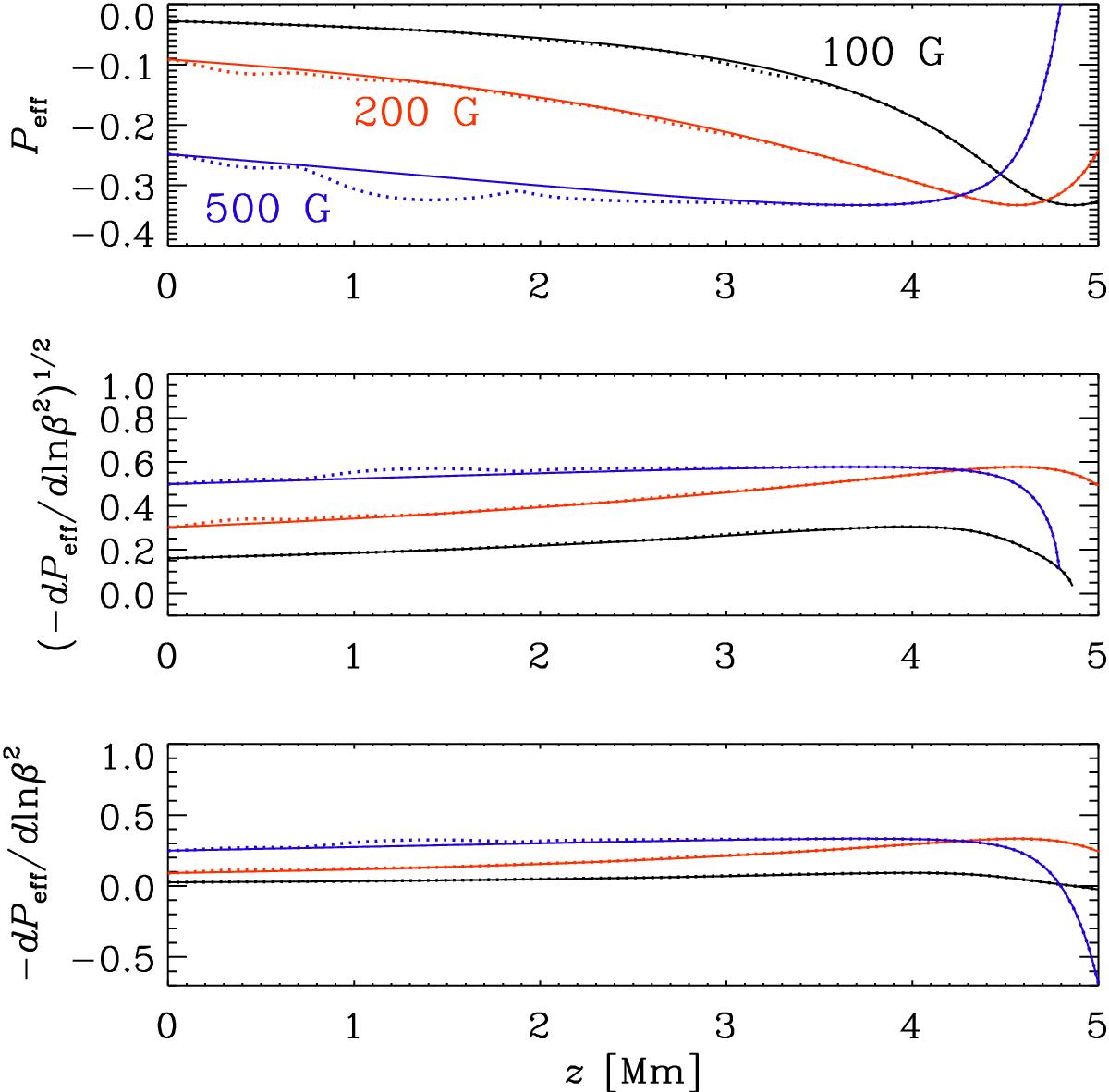
Fig. 7

Effective magnetic pressure and its derivative with respect to the magnetic field strength for B0 = 100 G (black), 200 G (red), and 500 G (blue), corresponding to B0/Beq0 = 0.01, 0.03, and 0.07. The solid lines are based on using just the imposed magnetic field, β0, while the dotted lines are based on the actual field.
Current usage metrics show cumulative count of Article Views (full-text article views including HTML views, PDF and ePub downloads, according to the available data) and Abstracts Views on Vision4Press platform.
Data correspond to usage on the plateform after 2015. The current usage metrics is available 48-96 hours after online publication and is updated daily on week days.
Initial download of the metrics may take a while.