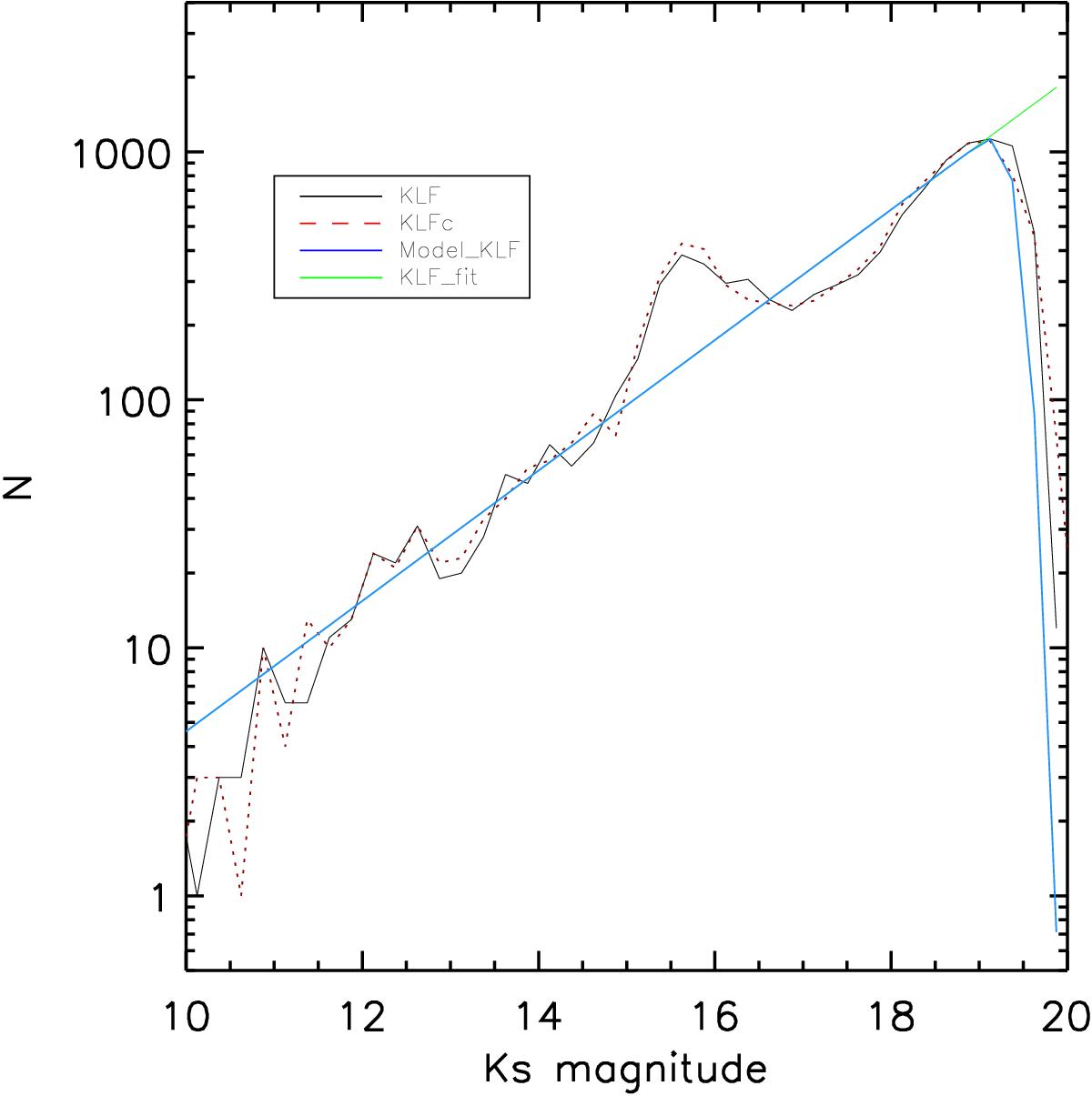
Fig. 4

The Ks LF in pointing 1 for min_correlation = 0.8 and deblend = 0 if shown as a black line. The dotted red line is the Ks LF after correcting the magnitude of each star for differential extinction. The green line shows a power law fit to the bright stars 11 < Ks < 14.5 with power law index of 0.26 ± 0.02. The blue line shows the effect of the completeness function according to Eq. (2) in Chatzopoulos et al. (2015b).
Current usage metrics show cumulative count of Article Views (full-text article views including HTML views, PDF and ePub downloads, according to the available data) and Abstracts Views on Vision4Press platform.
Data correspond to usage on the plateform after 2015. The current usage metrics is available 48-96 hours after online publication and is updated daily on week days.
Initial download of the metrics may take a while.