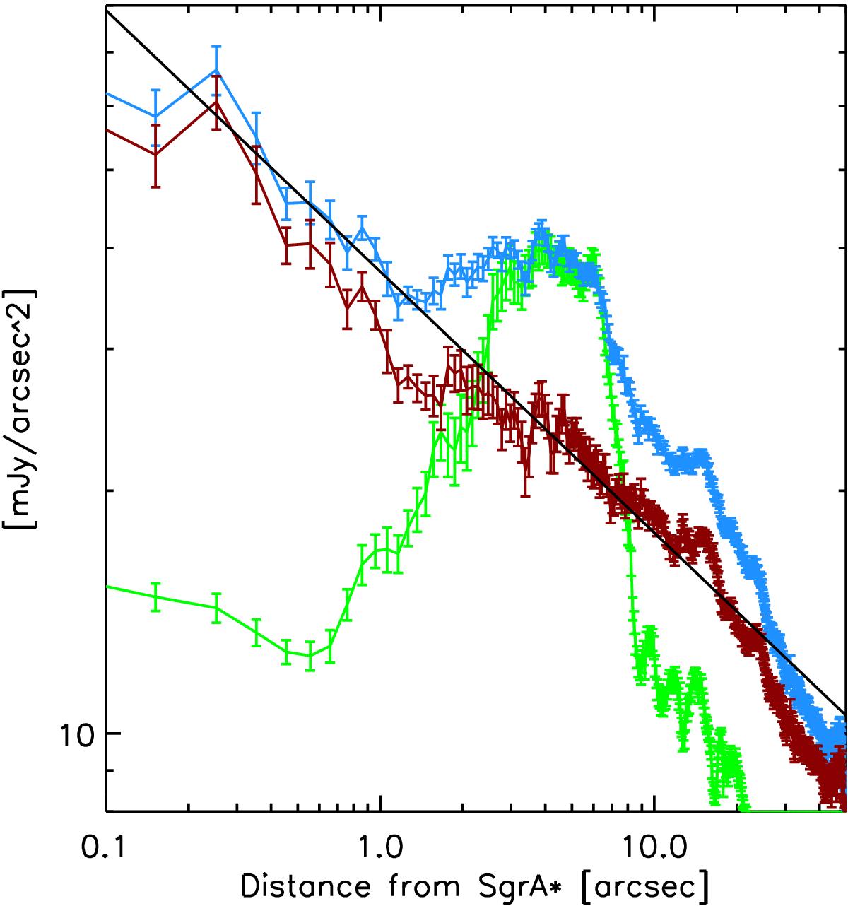
Fig. 5

Left: mean diffuse SB profiles in the Ks wide-field image before (blue) and after (red) subtraction of the appropriately scaled Pa α emission (green; multiplied by arbitrary factor to optimise the plot). The straight black line is the best power-law fit to the red data within R ≤ 25′′ pc (corresponding to R ≲ 1 pc for a GC distance of 8 kpc).
Current usage metrics show cumulative count of Article Views (full-text article views including HTML views, PDF and ePub downloads, according to the available data) and Abstracts Views on Vision4Press platform.
Data correspond to usage on the plateform after 2015. The current usage metrics is available 48-96 hours after online publication and is updated daily on week days.
Initial download of the metrics may take a while.