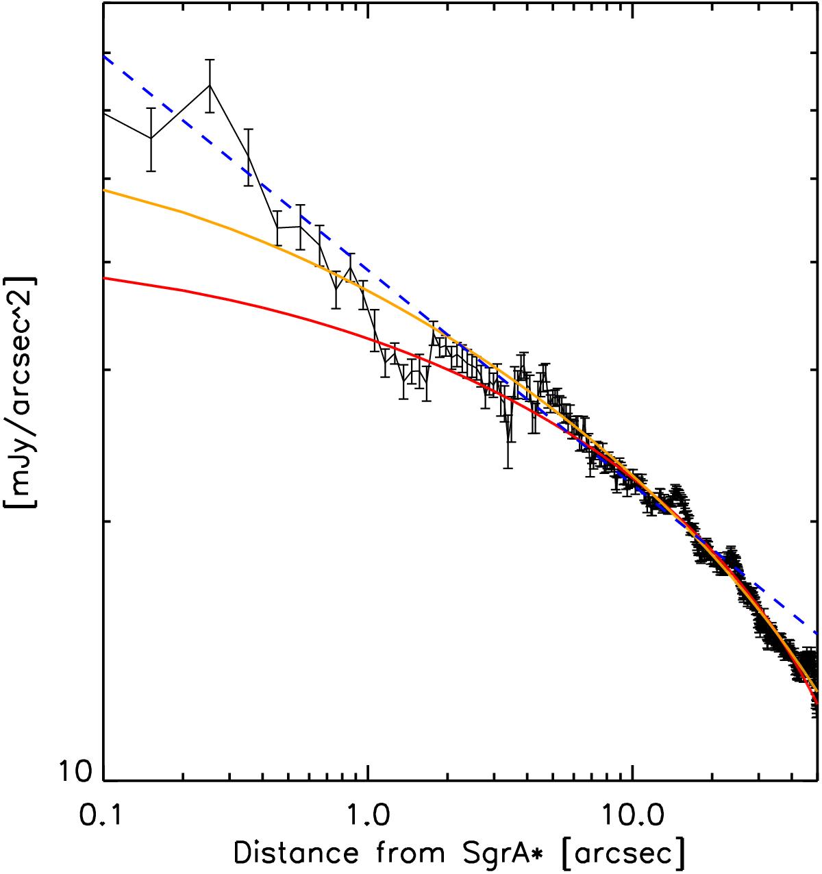
Fig. 8

Black points: SB profile from the optimised Ks wide plus Ks S13 image, corrected for extinction and gas emission. The dashed blue line is a 2D simple power-law fit to the data at R ≤ 25′′ (1 pc). The straight lines are best fit projected 3D simple power-laws, assuming a simple model, where the stellar density drops to zero at outer cut-off radii of 10 pc (red) and 20 pc (orange).
Current usage metrics show cumulative count of Article Views (full-text article views including HTML views, PDF and ePub downloads, according to the available data) and Abstracts Views on Vision4Press platform.
Data correspond to usage on the plateform after 2015. The current usage metrics is available 48-96 hours after online publication and is updated daily on week days.
Initial download of the metrics may take a while.