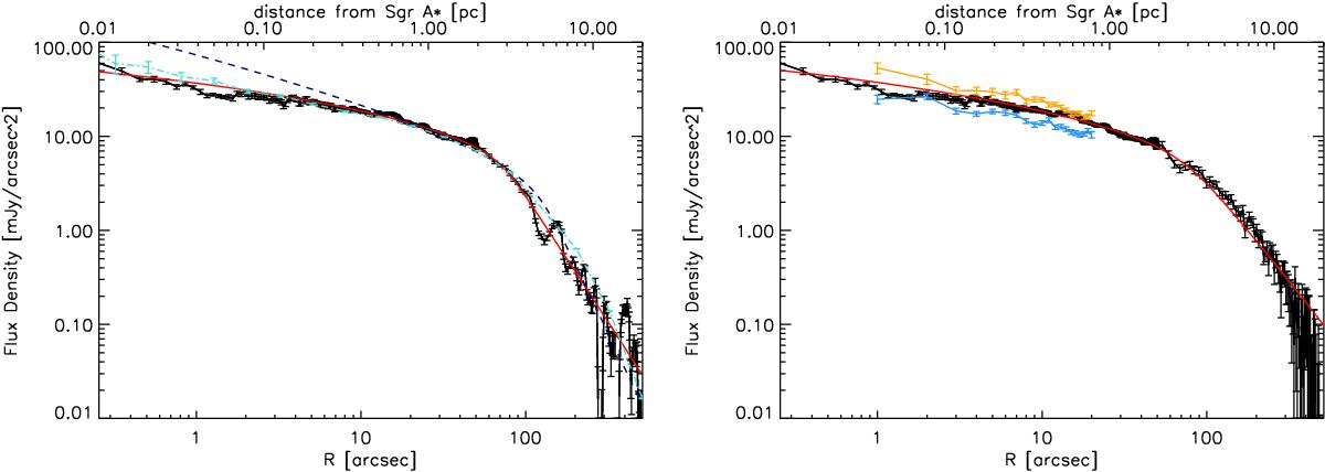
Fig. 9

Nuker model fits (red solid lines) to the diffuse SB in the GC. Left: the data at R ≥ 1.5 pc are the azimuthally averaged, extinction corrected Spitzer 4.5 μm data from Schödel et al. (2014a) minus model to remove the contribution from components not part of the NSC. The dashed blue line is a fit with a forced inner slope of γ = 1.5, corresponding to the lighter stars in a two-component Bahcall-Wolf cusp (Bahcall & Wolf 1977). The dash-dotted turquoise line indicates the SB profile of the faint stars in the simulated cluster of Paper III. Right: the data at R ≥ 1.5 pc are the azimuthally averaged, extinction corrected near-infrared data from Fritz et al. (2016) minus a model to remove the contribution from components not part of the NSC. The orange points and line show the stellar surface density data from Paper I for stars in the interval Ks = 17.5−18.5 and blue for Ks = 16.5−17.5. For better visualisation, the stellar surface densities have been scaled by constant, arbitrary factors.
Current usage metrics show cumulative count of Article Views (full-text article views including HTML views, PDF and ePub downloads, according to the available data) and Abstracts Views on Vision4Press platform.
Data correspond to usage on the plateform after 2015. The current usage metrics is available 48-96 hours after online publication and is updated daily on week days.
Initial download of the metrics may take a while.