Free Access
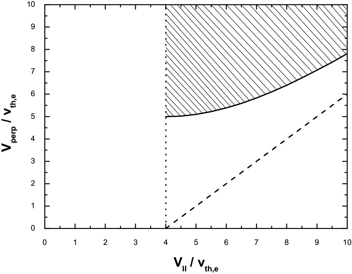
Fig. 3

The velocity distribution function of the accelerated electrons is non-zero in the hatched region in the V⊥−V∥ −plane for VS = 4vth,e, Ve = 5vth,e and αlc = 45°. The dashed line represents the line V⊥ = (V∥−Vs)·tanαlc. The full line represents the function V⊥ = V⊥ .lc(V∥) for the above given parameters.
Current usage metrics show cumulative count of Article Views (full-text article views including HTML views, PDF and ePub downloads, according to the available data) and Abstracts Views on Vision4Press platform.
Data correspond to usage on the plateform after 2015. The current usage metrics is available 48-96 hours after online publication and is updated daily on week days.
Initial download of the metrics may take a while.