Free Access
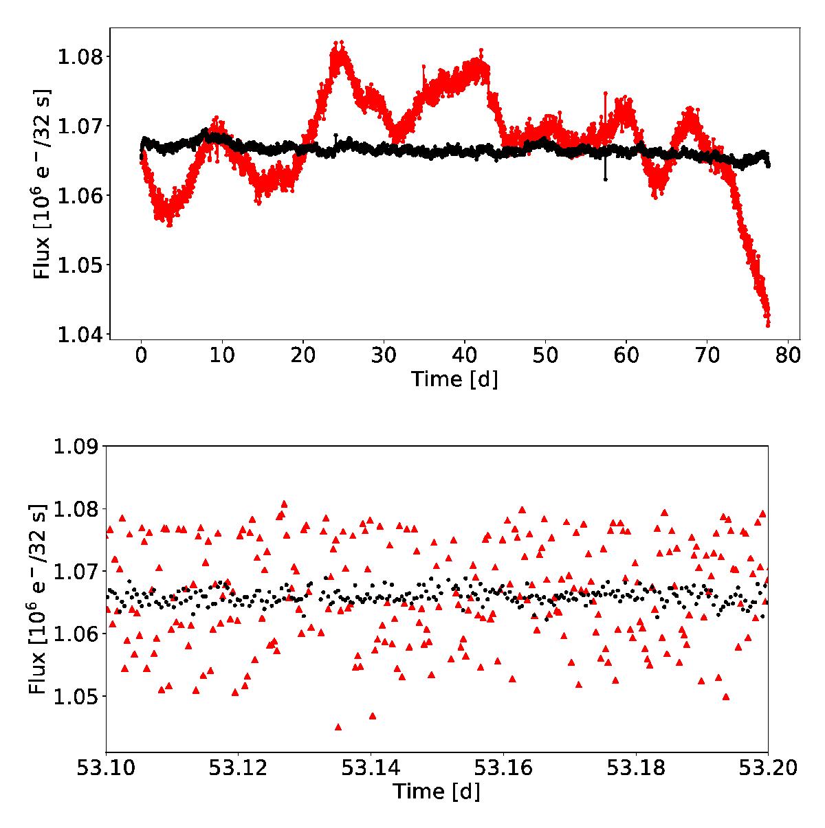
Fig. 6

Light curves of the stars with CoRoT IDs 605144111 (black) and 605088599 (red). Top panel: entire available light curve with a temporal binning of 30 min. Bottom panel: excerpt of the light curves with original binning of 32 s (black dots for CoRoT IDs 605144111 and red triangles for 605088599).
This figure is made of several images, please see below:
Current usage metrics show cumulative count of Article Views (full-text article views including HTML views, PDF and ePub downloads, according to the available data) and Abstracts Views on Vision4Press platform.
Data correspond to usage on the plateform after 2015. The current usage metrics is available 48-96 hours after online publication and is updated daily on week days.
Initial download of the metrics may take a while.