Free Access
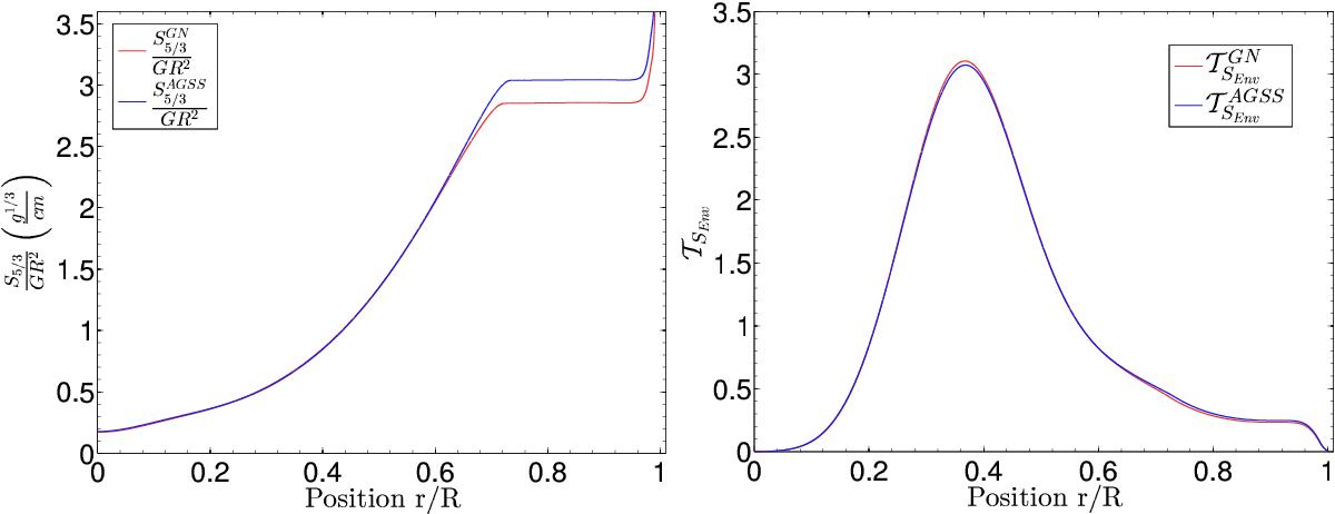
Fig. 8

Left panel: scaled S5/3 profile used in inversions for two standard solar models. The blue curve is associated with a model built using the AGSS09 abundances while the red one uses the GN93 abundances. Right panel: target function of the Senv indicator for both models.
Current usage metrics show cumulative count of Article Views (full-text article views including HTML views, PDF and ePub downloads, according to the available data) and Abstracts Views on Vision4Press platform.
Data correspond to usage on the plateform after 2015. The current usage metrics is available 48-96 hours after online publication and is updated daily on week days.
Initial download of the metrics may take a while.