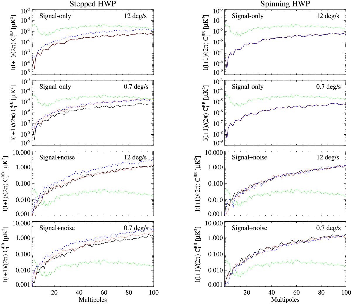
Fig. 4

BB angular power spectra from S (first two rows) and S+N (last two rows) residual maps for the HWP setups under consideration. First column: HWP stepped every 1 s (solid black line), 60 s (dotted red line) and 3600 s (dashed blue line), for a telescope scanning at 12 deg/s and 0.7 deg/s. Second column: HWP spinning at 5 Hz (solid black line), 2 Hz (dotted red line) and 0.5 Hz (dashed blue line), for a telescope scanning at 12 deg/s and 0.7 deg/s. The BB spectrum from the input map is shown for comparison in green dot-dashed line (in the S case the spectrum is rescaled down by a factor 104). The assumed noise level corresponds to five days and 18 detectors.
Current usage metrics show cumulative count of Article Views (full-text article views including HTML views, PDF and ePub downloads, according to the available data) and Abstracts Views on Vision4Press platform.
Data correspond to usage on the plateform after 2015. The current usage metrics is available 48-96 hours after online publication and is updated daily on week days.
Initial download of the metrics may take a while.