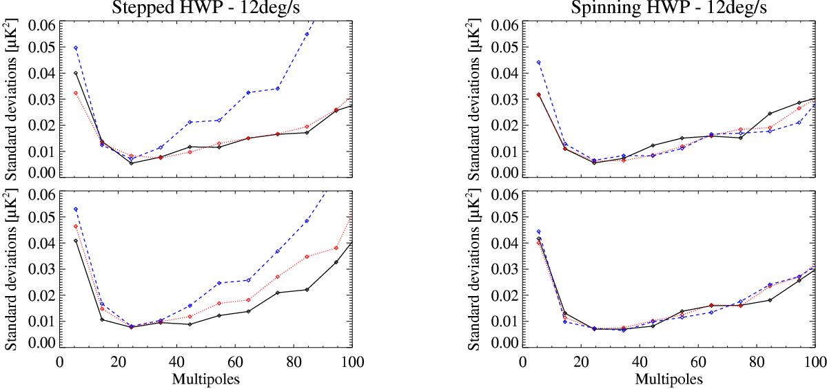
Fig. 5

Comparison of BB angular power spectrum error bars (in μK2) for the HWP setups under consideration. The spectra have been estimated by an implementation of the MASTER pseudo-Cl method from 50 N, S and S+N Monte Carlo maps. The error bars correspond to the standard deviation of the realizations (i.e. the dispersion of the simulations). The spectra have been produced assuming a couple of detectors for one day of operation. We note that the noise-only maps have been rescaled by a factor ~28.7, as (optimistically) expected by extending the observation to 110 detectors and 15 days. First column: HWP stepped every 1 s (solid black line), 60 s (dotted red line) and 3600 s (dashed blue line), for a telescope scanning at 12 deg/s (top) and 0.7 deg/s (bottom). Second column: HWP spinning at 5 Hz (in solid black line), 2 Hz (dotted red line) and 0.5 Hz (dashed blue line), for a telescope scanning at 12 deg/s (top) and 0.7 deg/s (bottom).
Current usage metrics show cumulative count of Article Views (full-text article views including HTML views, PDF and ePub downloads, according to the available data) and Abstracts Views on Vision4Press platform.
Data correspond to usage on the plateform after 2015. The current usage metrics is available 48-96 hours after online publication and is updated daily on week days.
Initial download of the metrics may take a while.