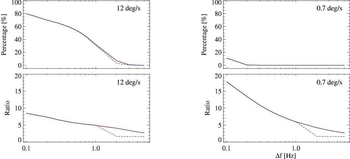
Fig. 7

Percentage of polarization intensity power lost when different band-pass filters are applied (first row) and ratios of the polarization S/N between the cases with and without band-pass filters (second row). The bandwidth of the filter Δf = (fmax−fmin)/2 is set to vary from 0.1 Hz to 5 Hz around the peak frequency (four times the rotation frequency). Plots are for a HWP spinning at 5 Hz (solid black line), 2 Hz (dotted red line) and 0.5 Hz (dashed blue line), for a telescope scanning at 12 deg/s and 0.7 deg/s.
Current usage metrics show cumulative count of Article Views (full-text article views including HTML views, PDF and ePub downloads, according to the available data) and Abstracts Views on Vision4Press platform.
Data correspond to usage on the plateform after 2015. The current usage metrics is available 48-96 hours after online publication and is updated daily on week days.
Initial download of the metrics may take a while.