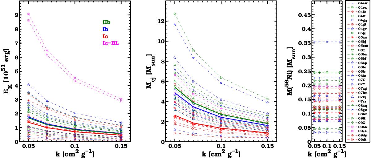
Fig. 20

Best explosion parameters (EK, Mej, M(56Ni)) from the Arnett models of 33 CSP-I SE SNe as a function of the opacity. SNe IIb, Ib, Ic, and Ic-BL are represented in green, blue, red, and magenta, respectively. Thick solid lines represent the average for each subtype. Larger opacities imply lower values of EK and Mej. For clarity, SN 2009ca is not shown in the M(56Ni) subpanel.
Current usage metrics show cumulative count of Article Views (full-text article views including HTML views, PDF and ePub downloads, according to the available data) and Abstracts Views on Vision4Press platform.
Data correspond to usage on the plateform after 2015. The current usage metrics is available 48-96 hours after online publication and is updated daily on week days.
Initial download of the metrics may take a while.