Free Access
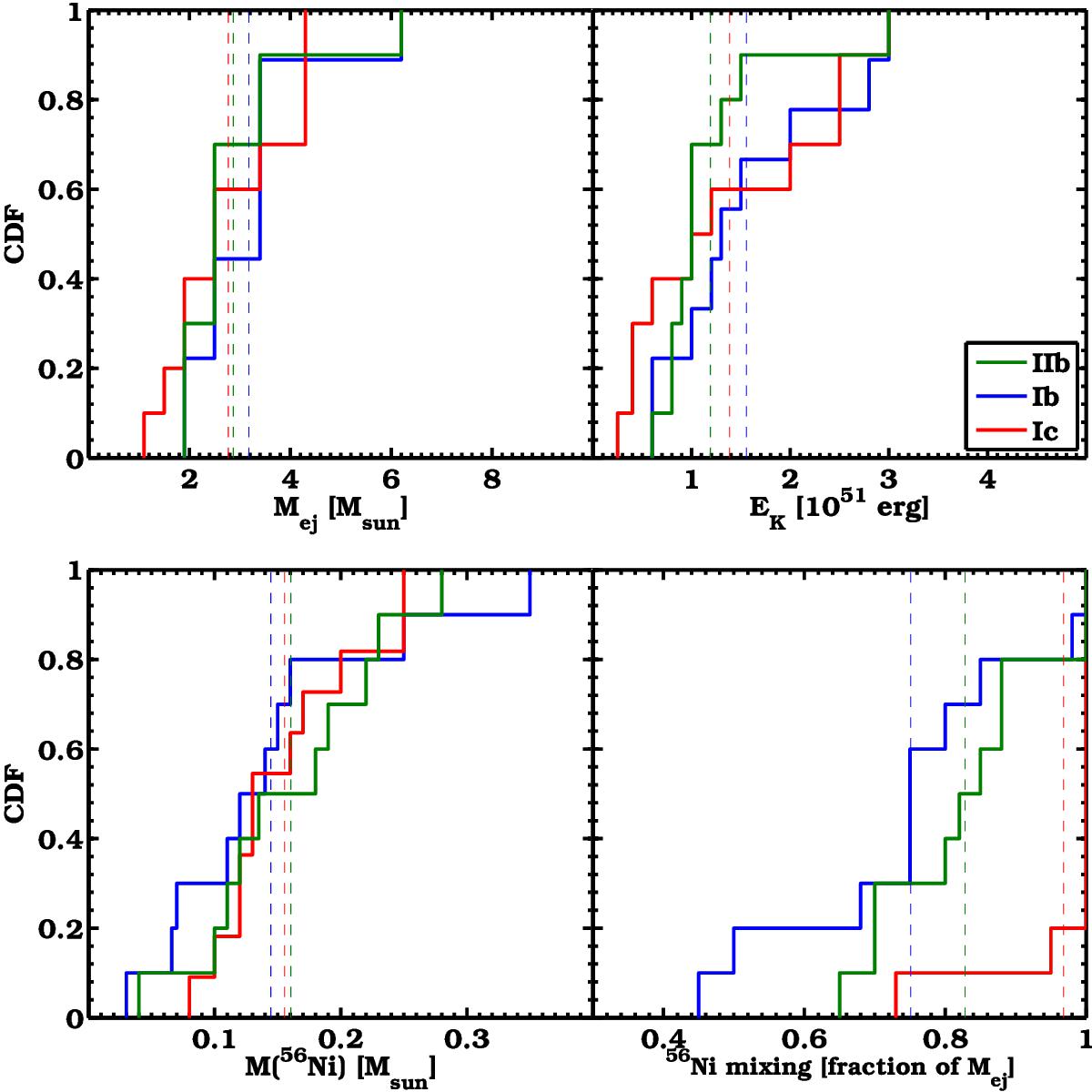
Fig. 22

Cumulative distributions (solid lines) of the explosion parameters obtained from the hydrodynamical models of 31 CSP-I SE SNe (the two SNe Ic-BL are not included). SNe IIb, Ib, and Ic are represented in green, blue, and red, respectively. The average value of each distribution is marked by a vertical dashed line.
Current usage metrics show cumulative count of Article Views (full-text article views including HTML views, PDF and ePub downloads, according to the available data) and Abstracts Views on Vision4Press platform.
Data correspond to usage on the plateform after 2015. The current usage metrics is available 48-96 hours after online publication and is updated daily on week days.
Initial download of the metrics may take a while.