Free Access

Fig. 7

image

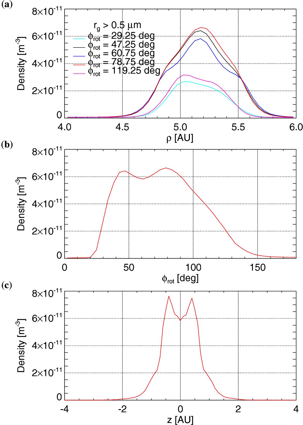
Panel a: radial profiles of the dust number density at different azimuthal angles from the position of Jupiter. Panel b: azimuthal profile of the dust number density for ρ = 5.175 AU from Fig. 5. Panel c: vertical cut through the densest part (ρ = 5.175 AU and φrot = 78.75°) of the dust configuration.

Current usage metrics show cumulative count of Article Views (full-text article views including HTML views, PDF and ePub downloads, according to the available data) and Abstracts Views on Vision4Press platform.

Data correspond to usage on the plateform after 2015. The current usage metrics is available 48-96 hours after online publication and is updated daily on week days.

Initial download of the metrics may take a while.