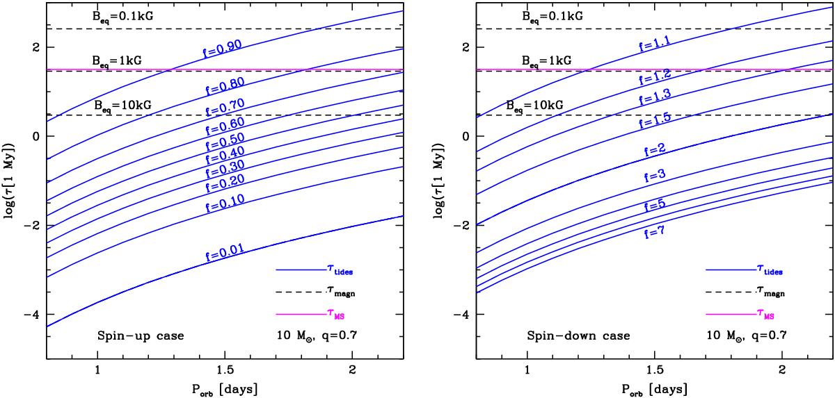
Fig. 1

Variation of the timescales for the tidal torques (blue continuous lines) and for the wind magnetic braking (black dashed lines) as a function of the orbital period for a 10 M⊙ star with Z = 0.007. The initial spin angular velocity of the primary is taken to be equal to f ωorb. The tidal torque has been estimated assuming that the companion is a 7 M⊙ star, that means a mass ratio of the secondary to the primary, q, equal to 0.7. The quantities have been estimated adopting ZAMS values for the 10 M⊙ star. The horizontal magenta line corresponding to 30 Myr, indicates the typical MS lifetime of a 10 M⊙ star. Left panel: the case of spin-up by the tidal torque. Right panel: the case of spin-down.
Current usage metrics show cumulative count of Article Views (full-text article views including HTML views, PDF and ePub downloads, according to the available data) and Abstracts Views on Vision4Press platform.
Data correspond to usage on the plateform after 2015. The current usage metrics is available 48-96 hours after online publication and is updated daily on week days.
Initial download of the metrics may take a while.