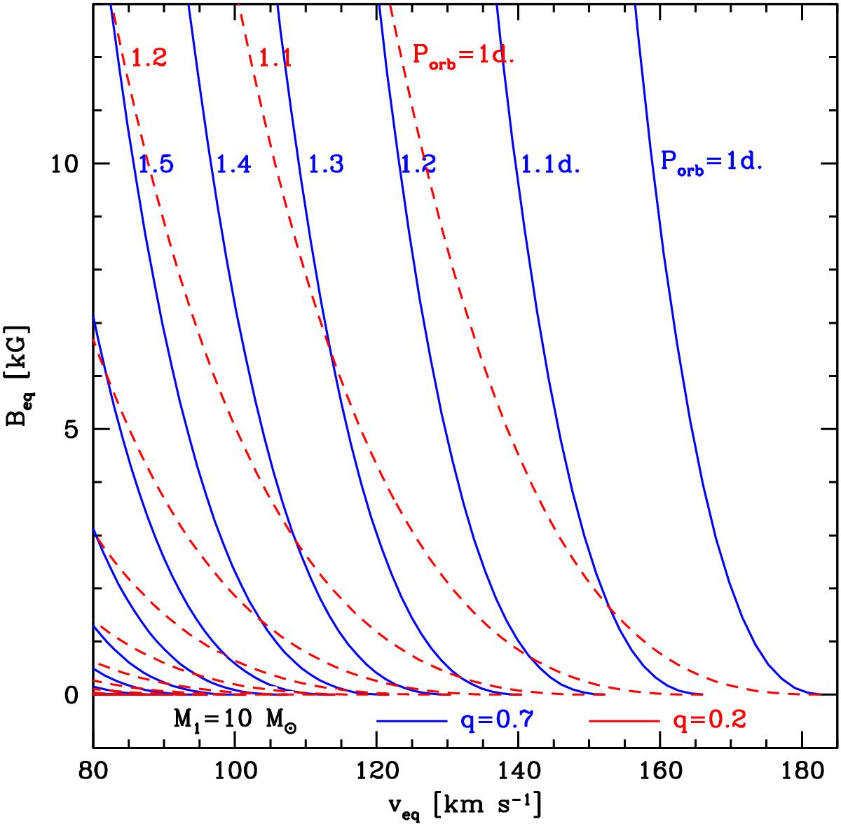
Fig. 2

Plot allowing determination of the rotation velocity of the primary (x-axis) when the equilibrium state is reached () for various values of the surface magnetic field (y-axis). The relations between these two quantities are given by the lines. For example, the rotation of the primary in a system composed of a 10 and a 7 M⊙ star (blue continuous lines) when the orbital period is 1.1 days, assuming the primary has a surface magnetic field of 10 kG, would be around 137 km s-1. The blue continuous lines are for a mass ratio q = M2/M1 = 0.7 and the red dashed lines are for a mass ratio q = 0.2.
Current usage metrics show cumulative count of Article Views (full-text article views including HTML views, PDF and ePub downloads, according to the available data) and Abstracts Views on Vision4Press platform.
Data correspond to usage on the plateform after 2015. The current usage metrics is available 48-96 hours after online publication and is updated daily on week days.
Initial download of the metrics may take a while.