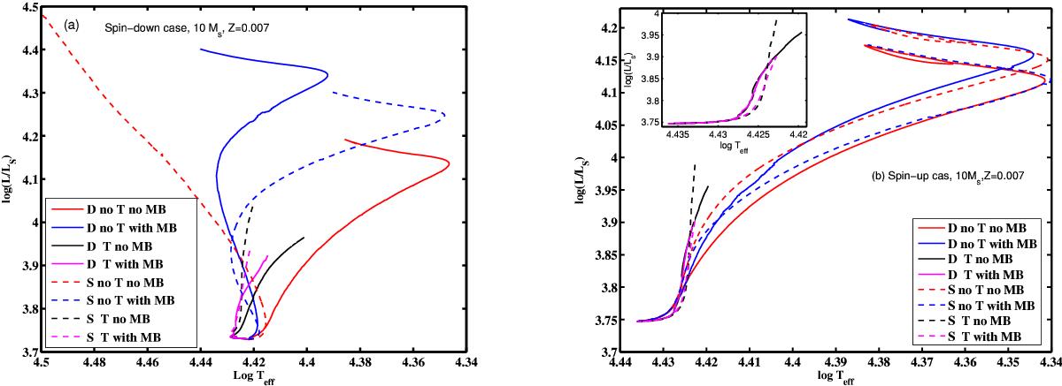
Fig. 5

Evolution in the theoretical HRD for the same models as shown in Fig. 4. Left panel: the star begins its evolution with a rotation on the ZAMS equal to 310 km s-1. In the close binary considered, the star is being spun down by tidal forces. Right panel: the star begins its evolution with a rotation on the ZAMS equal to 60 km s-1. In the close binary model considered, the star is spun up by tidal forces. The inset is a zoom of the beginning of the evolutionary tracks for the binary models.
Current usage metrics show cumulative count of Article Views (full-text article views including HTML views, PDF and ePub downloads, according to the available data) and Abstracts Views on Vision4Press platform.
Data correspond to usage on the plateform after 2015. The current usage metrics is available 48-96 hours after online publication and is updated daily on week days.
Initial download of the metrics may take a while.