Fig. 14

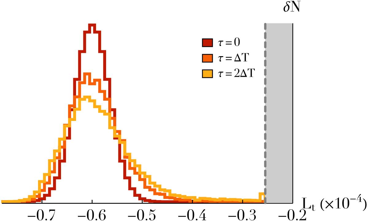
Diffusion of a population of retrograde test wires of individual mass μt = μ⋆ as a function of time. The evolution of each star is driven by the Langevin Eq. (64). The initial PDF of the population is represented by the red histogram, while the coloured histograms describe the statistics of the population after a time ΔT = 200 and 2ΔT. Solving the dynamics of this population via the Langevin Eq. (64)allows for the integration forward in time of the Fokker-Planck Eq. (62), which describes the diffusion of the test wires’ PDF as a whole, without resorting to direct N-body simulations.
Current usage metrics show cumulative count of Article Views (full-text article views including HTML views, PDF and ePub downloads, according to the available data) and Abstracts Views on Vision4Press platform.
Data correspond to usage on the plateform after 2015. The current usage metrics is available 48-96 hours after online publication and is updated daily on week days.
Initial download of the metrics may take a while.