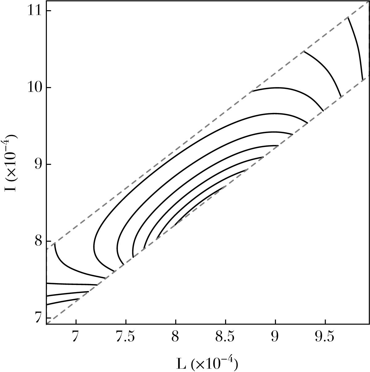
Fig. 4

Total precession frequencies in action space in the neighbourhood of the razor-thin quasi-Keplerian disc introduced in Sect. 2.2. The disc being typically 0.4 pc away from the central BH, the precession frequencies are dominated by the mass precession frequencies
. These mass precession frequencies are retrograde, so that Ωs(J) < 0. The contours in this plot are spaced linearly between 95% and 5% of the minimum precession frequency satisfying
. Because the degenerate Landau Eq. (19)does not involve any resonance vectors, the contours levels of Ωs also correspond to the critical resonant lines γ(ω) introduced in Eq. (39).
Current usage metrics show cumulative count of Article Views (full-text article views including HTML views, PDF and ePub downloads, according to the available data) and Abstracts Views on Vision4Press platform.
Data correspond to usage on the plateform after 2015. The current usage metrics is available 48-96 hours after online publication and is updated daily on week days.
Initial download of the metrics may take a while.