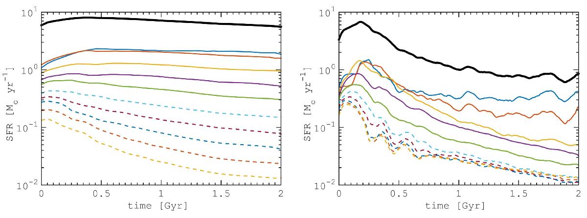
Fig. 4

SFR in different models: one with no bar (left), one with a bar (right) at different radii. The parameters of the bar are, εb = 0.1, rb = 5 kpc, and h = 0.2 Gyr. The lines are the same as in Fig. 3. Each line corresponds to the SFR integrated over the area of a 1 kpc width ring centered on the value given in the legend of Fig. 3.
Current usage metrics show cumulative count of Article Views (full-text article views including HTML views, PDF and ePub downloads, according to the available data) and Abstracts Views on Vision4Press platform.
Data correspond to usage on the plateform after 2015. The current usage metrics is available 48-96 hours after online publication and is updated daily on week days.
Initial download of the metrics may take a while.