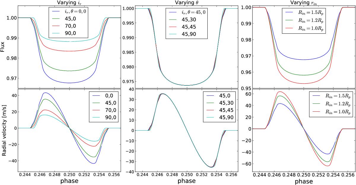
Fig. 3

Effect of varying ring parameters on the light-curve and RM signals. First column shows how the light curve and RM signal varies for different values of ir. Second column shows signal variation for different values of θ when ir = 45. Third column shows the effect of varying the gap between planet surface and ring area by varying Rin.
Current usage metrics show cumulative count of Article Views (full-text article views including HTML views, PDF and ePub downloads, according to the available data) and Abstracts Views on Vision4Press platform.
Data correspond to usage on the plateform after 2015. The current usage metrics is available 48-96 hours after online publication and is updated daily on week days.
Initial download of the metrics may take a while.