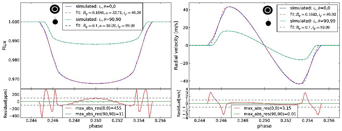
Fig. 5

Ringless model fit to two ring orientations (face-on and edge-on) of the ringed planet. Left panel: analytical ringless fit to the two ringed planets light-curves and the respective residuals generated. Right panel: numerical ringless fit to the two ringed planet RM signals and the residuals. The black dashed line in residual plots show the detection limit as mentioned in text.
Current usage metrics show cumulative count of Article Views (full-text article views including HTML views, PDF and ePub downloads, according to the available data) and Abstracts Views on Vision4Press platform.
Data correspond to usage on the plateform after 2015. The current usage metrics is available 48-96 hours after online publication and is updated daily on week days.
Initial download of the metrics may take a while.