Free Access
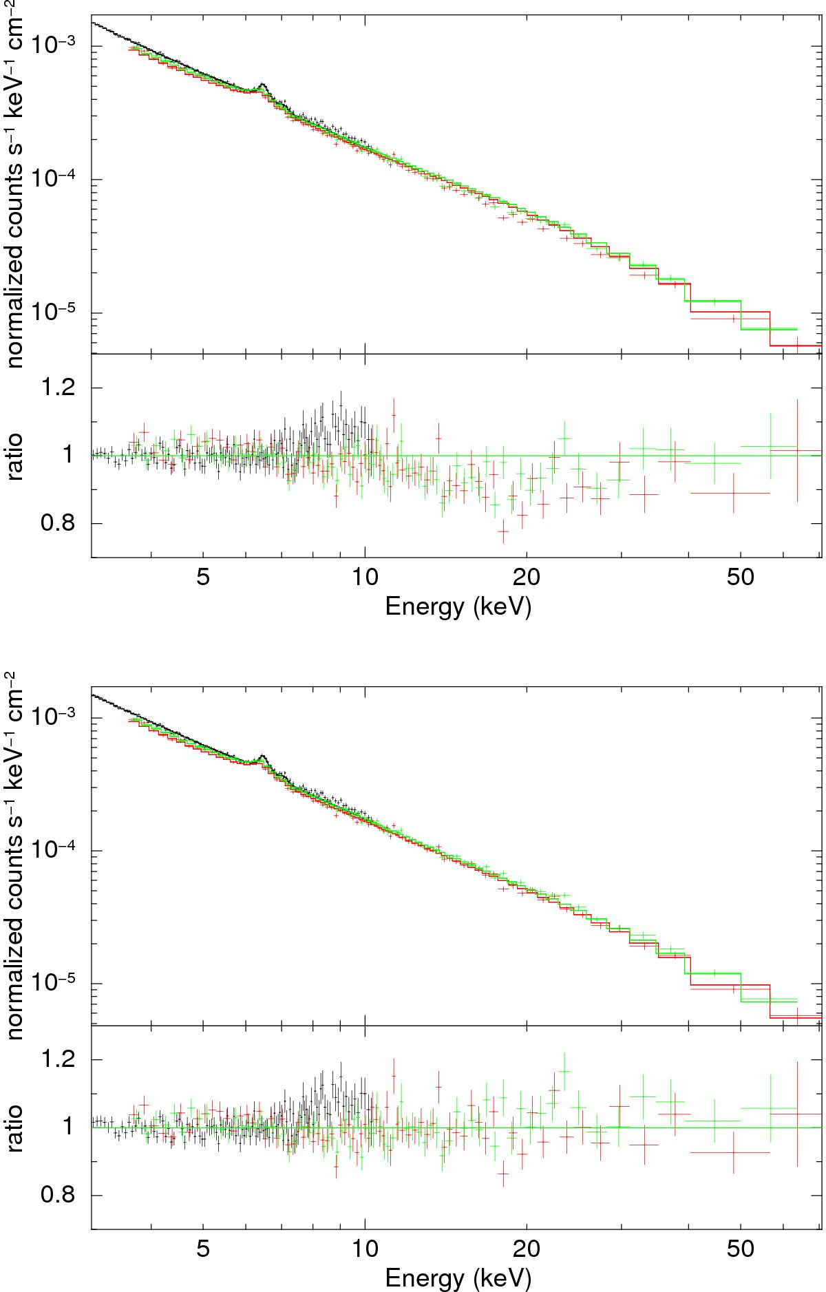
Fig. 7

Simultaneous XMM-Newton/pn and NuSTAR spectra of Ark 120 obtained on 2014 March 22 fitted with model
. Black: XMM-Newton/pn spectrum, red: NuSTAR FPMA, and green: NuSTAR FPMB. Top panel: fit over the 3–10 keV range and then extrapolated up to 79 keV without refitting. Bottom panel: fit over the 3–79 keV range.
This figure is made of several images, please see below:
Current usage metrics show cumulative count of Article Views (full-text article views including HTML views, PDF and ePub downloads, according to the available data) and Abstracts Views on Vision4Press platform.
Data correspond to usage on the plateform after 2015. The current usage metrics is available 48-96 hours after online publication and is updated daily on week days.
Initial download of the metrics may take a while.