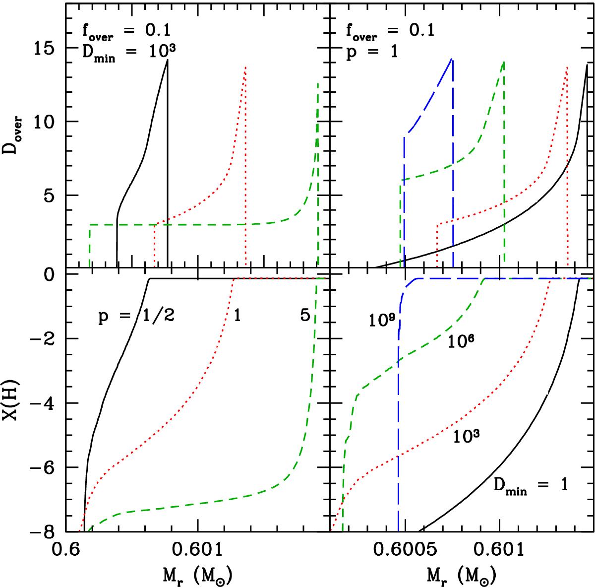
Fig. 4

Left panels: proton mass fraction (bottom panel) and diffusion coefficient (top panel) profiles below the convective envelope resulting from the LM scheme with overshoot parameters fover = 0.1, Dmin = 103 cm2/ s and 3 values of p = 1/2, 1, 5. Right panels: same but for fover = 0.1, p = 1 and 4 values of Dmin = 101.9 cm2/ s. The profiles were taken when the convective envelopes reaches its deepest inward extent. For display convenience, the Dmin = 109 profiles have been shifted outward by 0.00085 M⊙.
Current usage metrics show cumulative count of Article Views (full-text article views including HTML views, PDF and ePub downloads, according to the available data) and Abstracts Views on Vision4Press platform.
Data correspond to usage on the plateform after 2015. The current usage metrics is available 48-96 hours after online publication and is updated daily on week days.
Initial download of the metrics may take a while.