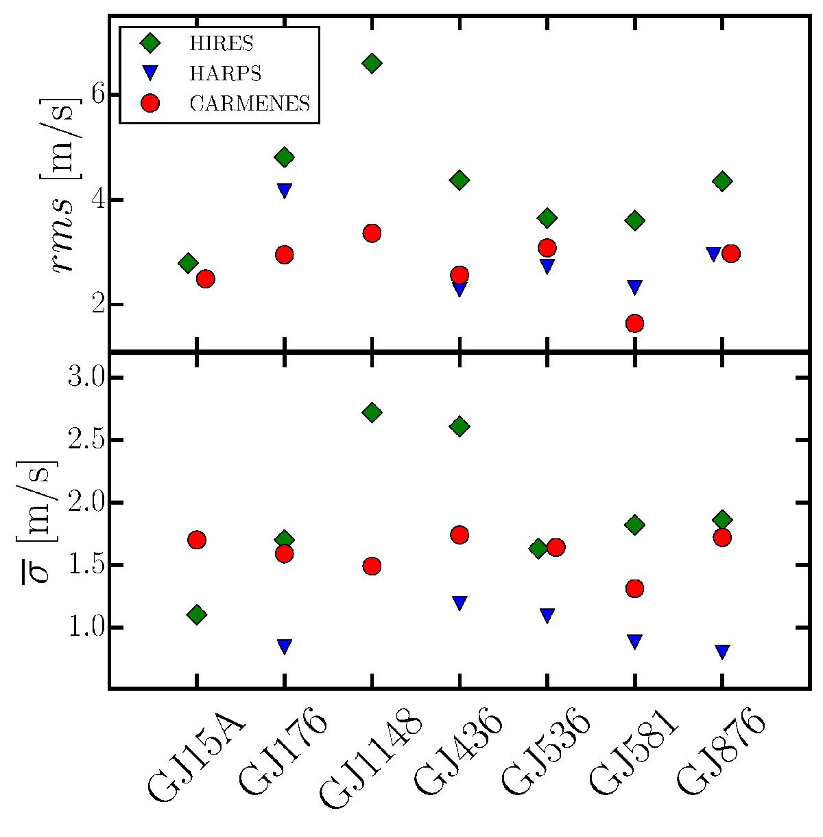
Fig. 14

Weighted mean rms scatter around the best fits (top) and mean formal RV uncertainties (bottom) for HARPS, HIRES and CARMENES. The CARMENES data are more precise and have a lower scatter when compared to HIRES. The internal errors of HARPS are usually smaller than CARMENES, but comparable in terms of RV scatter. The rms scatter for GJ 15 A and GJ 1148 is averaged from the orbital solutions for these two targets given in Tables 7 and 4, respectively.
Current usage metrics show cumulative count of Article Views (full-text article views including HTML views, PDF and ePub downloads, according to the available data) and Abstracts Views on Vision4Press platform.
Data correspond to usage on the plateform after 2015. The current usage metrics is available 48-96 hours after online publication and is updated daily on week days.
Initial download of the metrics may take a while.