Fig. 10

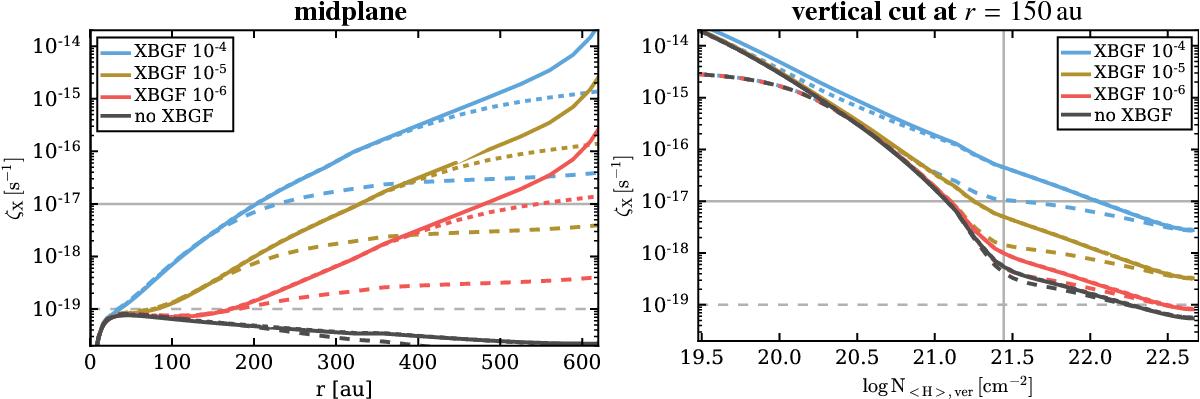
X-ray ionization rate in the midplane (left panel) and for a vertical cut at r = 150 au (right panel) for models with fixed stellar X-ray luminosity (LX = 1030 erg s-1) but varying X-ray background fields with fluxes of 2 × 10-4 (blue), 2 × 10-5 (brown) and 2 × 10-4 erg cm-2 s-1 (red); the black lines are for the model without an XBGF. The solid lines are for the full X-ray spectra (0.1−20 keV); the dotted and dashed lines correspond to models with a low-energy cut-off at 0.3 keV and 1 keV, respectively. The horizontal lines mark the cosmic-ray ionization rates for the ISM (ζCR ≈ 10-17), and low cosmic-ray case (ζCR ≈ 10-19 s-1). In the right panel, the vertical grey solid line indicates the scattering surface at N⟨ H ⟩ ,rad = 2 × 1024 cm-2 (see also Fig. 7).
Current usage metrics show cumulative count of Article Views (full-text article views including HTML views, PDF and ePub downloads, according to the available data) and Abstracts Views on Vision4Press platform.
Data correspond to usage on the plateform after 2015. The current usage metrics is available 48-96 hours after online publication and is updated daily on week days.
Initial download of the metrics may take a while.