Free Access
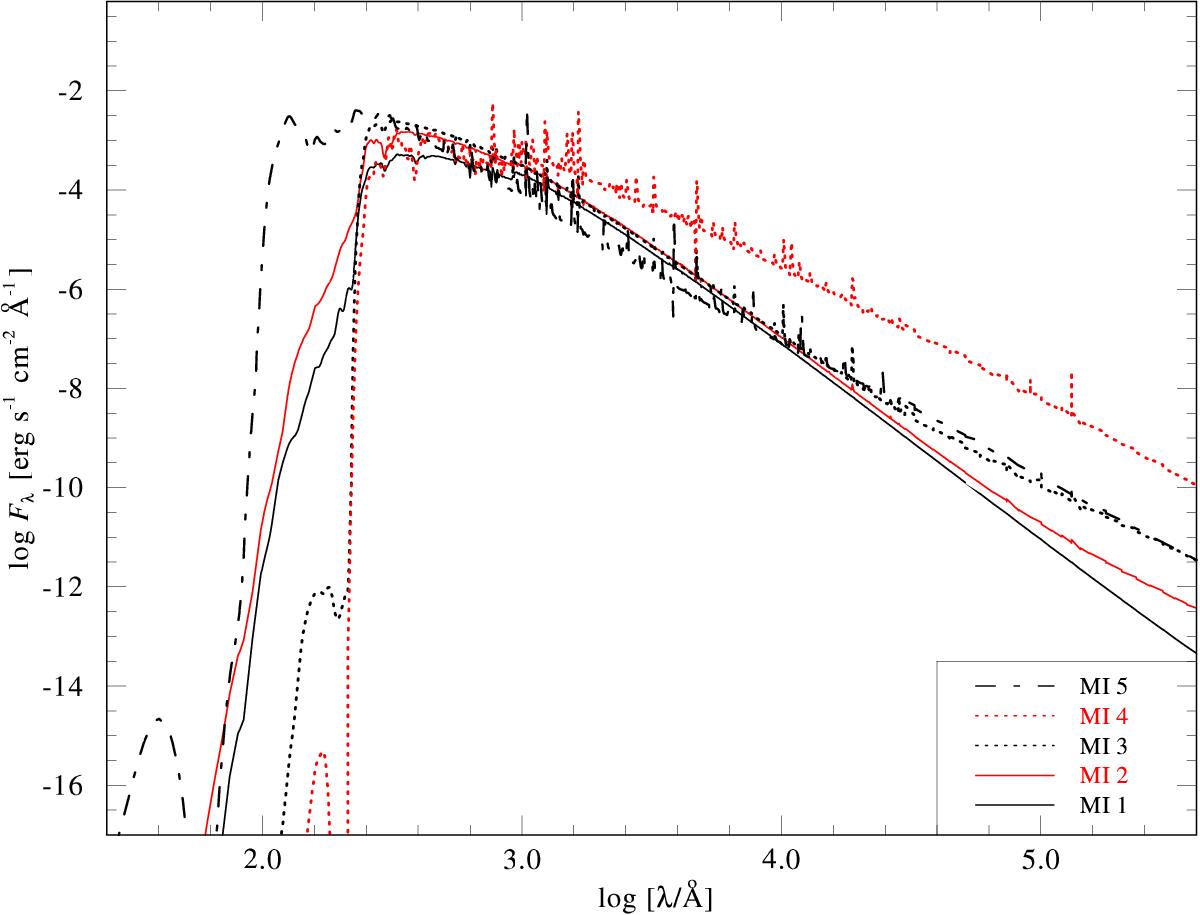
Fig. B.2

Sequence of model SEDs calculated at characteristic points of the stellar evolution track provided by Marchant et al. (2016) for a metallicity of 0.1 Z⊙. The model SEDs are convolved with a Gaussian profile of 8 Å to increase lucidity.
Current usage metrics show cumulative count of Article Views (full-text article views including HTML views, PDF and ePub downloads, according to the available data) and Abstracts Views on Vision4Press platform.
Data correspond to usage on the plateform after 2015. The current usage metrics is available 48-96 hours after online publication and is updated daily on week days.
Initial download of the metrics may take a while.