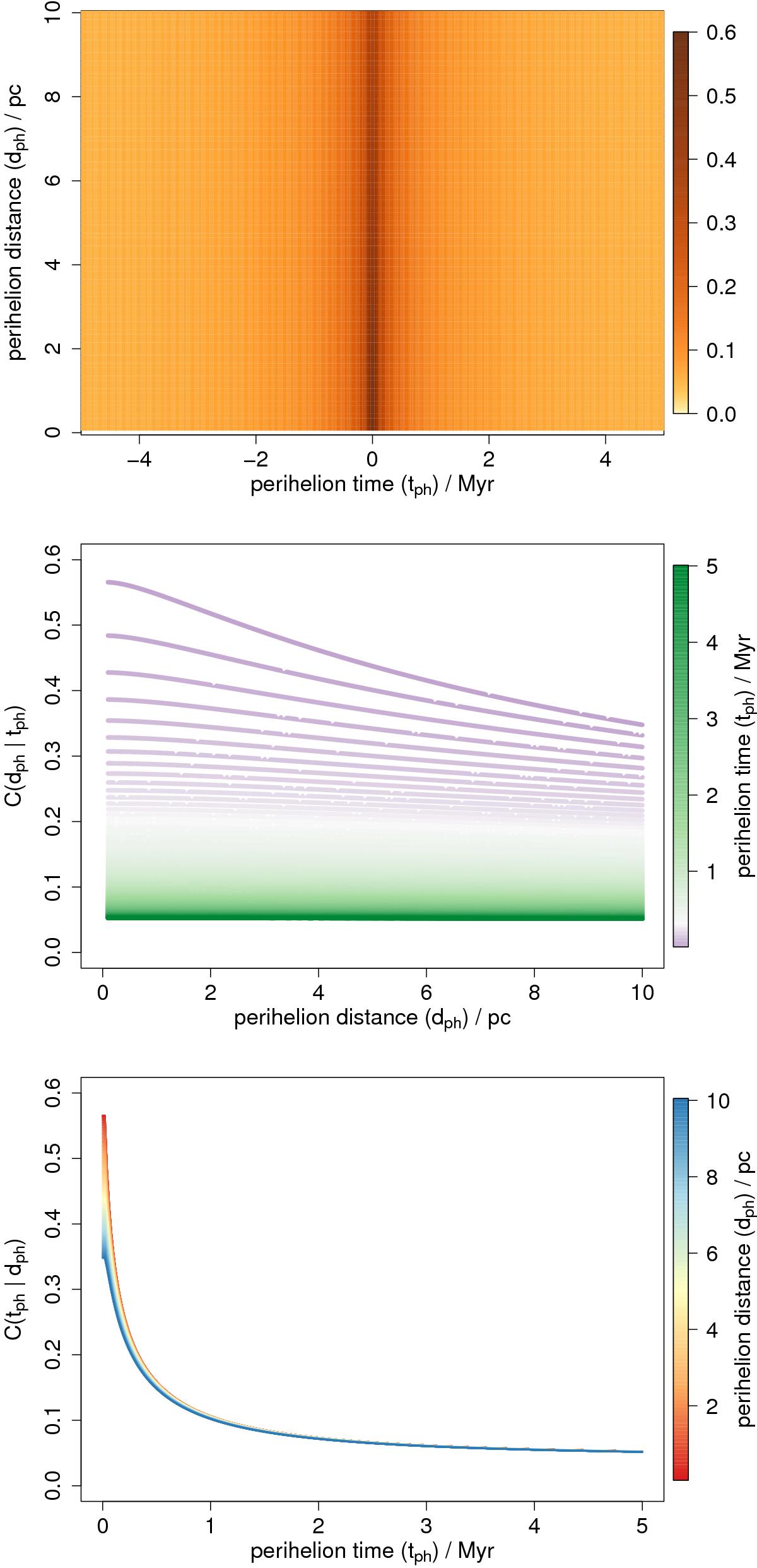
Fig. 13

Completeness function, C(tph,dph) (top panel). This shows the probability of observing an encounter as a function of its perihelion time and distance. It uses distributions of stellar properties and an approximation of the TGAS selection function (see Sect. 4.1) and is mirror-symmetric about tph = 0. The values shown range between 0.05 and 0.57, which excludes tph = 0 and dph = 0 as formally the incompleteness is undefined at these values. Cuts through this parallel to the dph axis are shown in the middle panel for tph from 20 kyr to 5 Myr in steps of 20 kyr. Cuts parallel to the tph axis (for positive tph) are shown in the bottom panel for dph from 0.1–10 pc in steps of 0.1 pc.
Current usage metrics show cumulative count of Article Views (full-text article views including HTML views, PDF and ePub downloads, according to the available data) and Abstracts Views on Vision4Press platform.
Data correspond to usage on the plateform after 2015. The current usage metrics is available 48-96 hours after online publication and is updated daily on week days.
Initial download of the metrics may take a while.