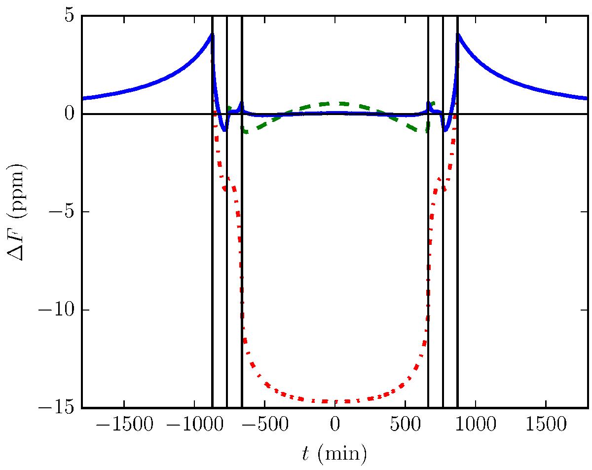
Fig. 2

Residuals for a light-curve model including refraction fitted with a plain transit model without refraction for Jupiter. The dash-dotted red line is for a plain model with identical parameters as for the refraction light curve. The dashed green line is for a plain model with fixed, correct limb-darkening coefficients (LDCs). The solid blue line is a plain model fitted with 10% freedom in the LDCs. The vertical black lines mark when the planet limb and centre cross the star limb. The reference time is set to mid-transit.
Current usage metrics show cumulative count of Article Views (full-text article views including HTML views, PDF and ePub downloads, according to the available data) and Abstracts Views on Vision4Press platform.
Data correspond to usage on the plateform after 2015. The current usage metrics is available 48-96 hours after online publication and is updated daily on week days.
Initial download of the metrics may take a while.