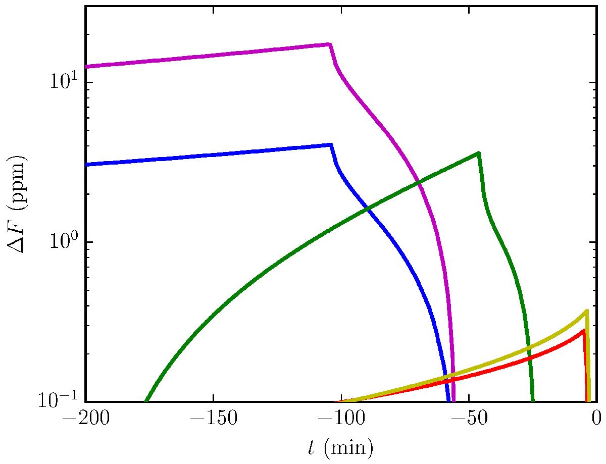
Fig. 3

Refraction shoulders for the five strongly lensing test planets. The y-axis is logarithmic for visual clarity. Blue is the reference Jupiter and is identical to the blue line in Fig. 2. Red is the Earth, yellow is the 80-day super-Earth, green is the 80-day Jovian, and magenta is the best-case Jovian planet. The reference time is set to when the planet centre crosses the star limb, which is equivalent to the second vertical line in Fig. 2.
Current usage metrics show cumulative count of Article Views (full-text article views including HTML views, PDF and ePub downloads, according to the available data) and Abstracts Views on Vision4Press platform.
Data correspond to usage on the plateform after 2015. The current usage metrics is available 48-96 hours after online publication and is updated daily on week days.
Initial download of the metrics may take a while.