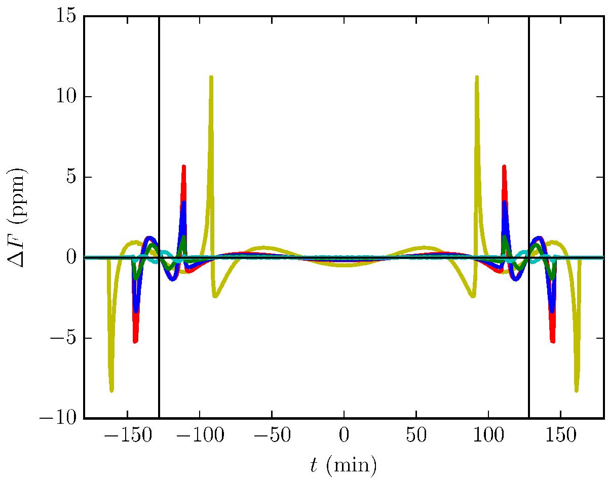
Fig. 7

Residuals for a set of 20-day Jovians after fitting a plain light-curve model with 10% freedom in the limb-darkening coefficients to a refraction light curve. Blue is the reference planet with parameters given in Table 2. Red is double temperature, green is double mass, cyan is six times higher molecular weight, and yellow is double radius. The vertical black lines mark when the planet centre crosses the star limb. The reference time is set to mid-transit.
Current usage metrics show cumulative count of Article Views (full-text article views including HTML views, PDF and ePub downloads, according to the available data) and Abstracts Views on Vision4Press platform.
Data correspond to usage on the plateform after 2015. The current usage metrics is available 48-96 hours after online publication and is updated daily on week days.
Initial download of the metrics may take a while.