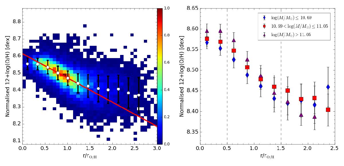
Fig. 12

Left: same as Fig. 9 but normalising the abundance distribution to rO/H. See caption above for more details. Right: mean oxygen abundance radial profiles derived for galaxies belonging to three different stellar mass bins: log (M/M⊙) ≤ 10.69, blue diamonds; 10.69 < log (M/M⊙) ≤ 11.05, red squares; log (M/M⊙) > 11.05, purple triangles. The limits of the bins were chosen to ensure a similar number of elements in each bin. The symbols represent the mean oxygen abundance values, with the error bars indicating the corresponding standard deviations, for bins of 0.25 rO/H. Dashed vertical lines indicate the average position of the inner drop and the flattening in the outer parts.
Current usage metrics show cumulative count of Article Views (full-text article views including HTML views, PDF and ePub downloads, according to the available data) and Abstracts Views on Vision4Press platform.
Data correspond to usage on the plateform after 2015. The current usage metrics is available 48-96 hours after online publication and is updated daily on week days.
Initial download of the metrics may take a while.