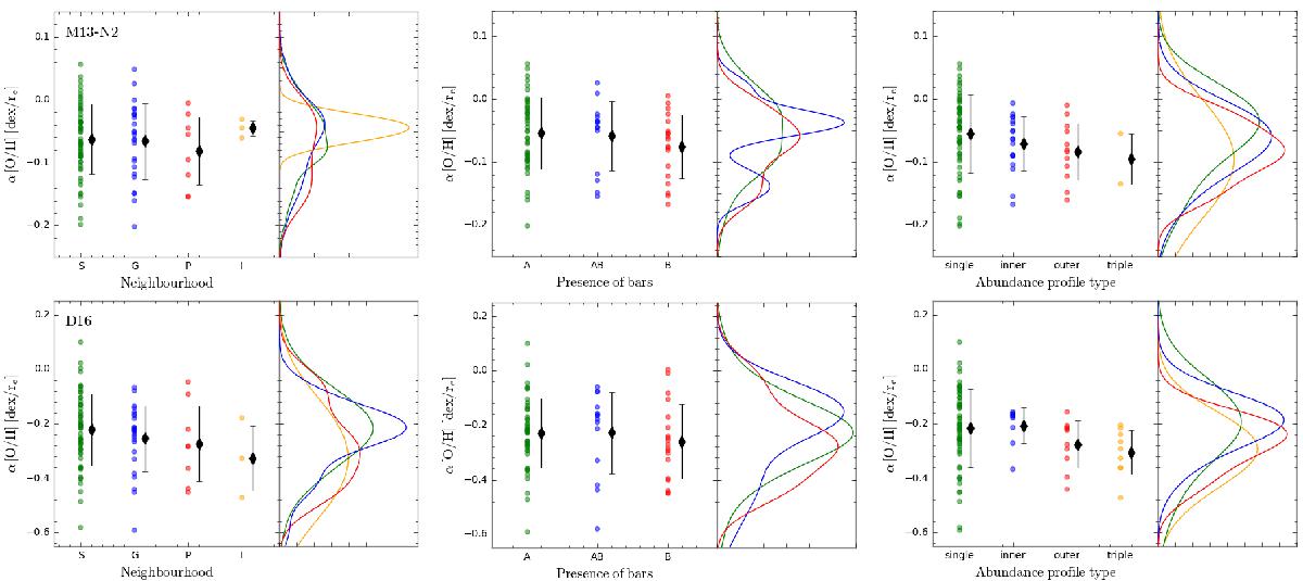
Fig. C.2

Distribution of slopes depending on different galaxy properties using the M13-N2 (top panels) and the D16 (bottom panels) calibrators: (i) the environment of the galaxies (isolated, green; in groups, blue; paired, red; interacting, yellow) for the left panel, (ii) the presence or absence of bars (clearly unbarred galaxies, green; clearly barred, red; and an intermediate stage, blue) for the middle panel, and (iii) the shape of the abundance profile (single profile, green; broken profile with inner drop, blue; broken profile with outer flattening, red; and a doubly-broken profile with presence of both inner drop and outer flattening, yellow) for the right panel. The black diamonds represent the mean values within each segregation, with the error bars indicating the standard deviation.
Current usage metrics show cumulative count of Article Views (full-text article views including HTML views, PDF and ePub downloads, according to the available data) and Abstracts Views on Vision4Press platform.
Data correspond to usage on the plateform after 2015. The current usage metrics is available 48-96 hours after online publication and is updated daily on week days.
Initial download of the metrics may take a while.