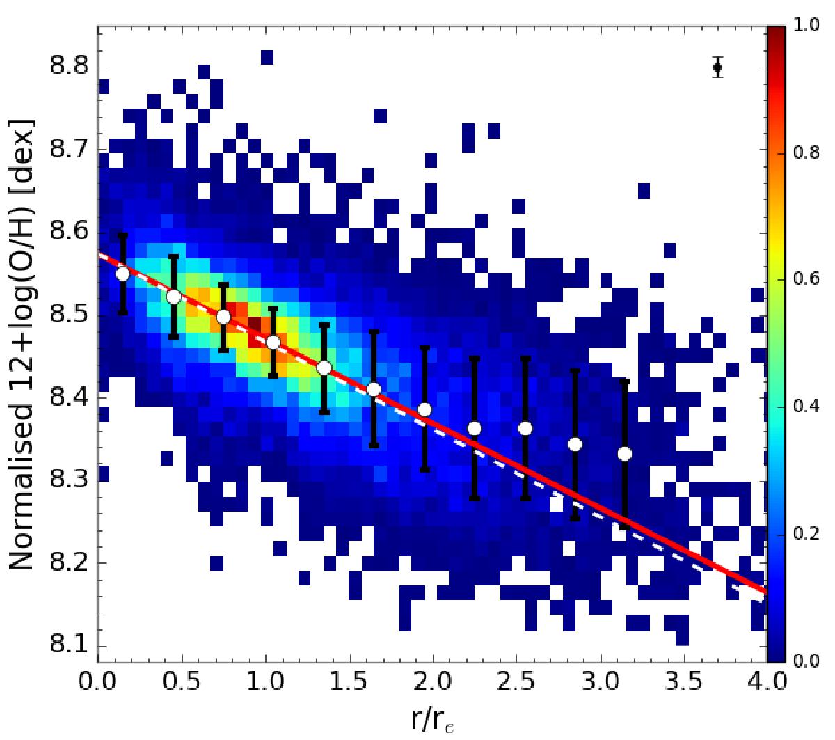
Fig. 9

Radial density distribution of the oxygen abundance after normalising the abundances of each galaxy so that the abundance at 1re is equal to the average value for the whole sample at such radius. The white dots represent the mean oxygen abundance values, with the error bars indicating the corresponding standard deviations, for bins of 0.3 re. The solid red line represents the error-weighted linear fit derived for those mean values within the range between 0.5 and 1.5 re, and the dashed white line represents the linear relation corresponding to the characteristic value of the slope derived in Sect. 4.2 for the individual galaxies assuming a Gaussian distribution.
Current usage metrics show cumulative count of Article Views (full-text article views including HTML views, PDF and ePub downloads, according to the available data) and Abstracts Views on Vision4Press platform.
Data correspond to usage on the plateform after 2015. The current usage metrics is available 48-96 hours after online publication and is updated daily on week days.
Initial download of the metrics may take a while.