Free Access

Fig. 13

image

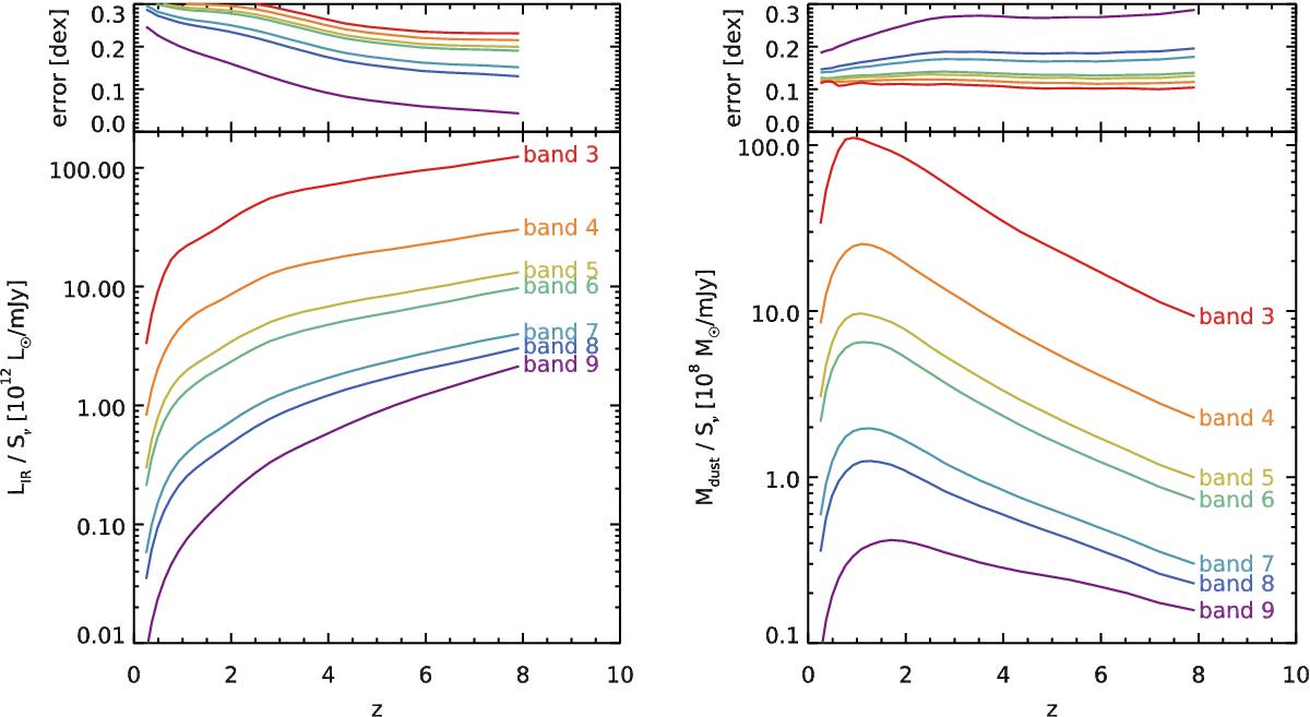
Left: conversion factor from observed flux (in mJy) to LIR (in units of 1212L). Right: conversion factor from observed flux (in mJy) to a dust mass (in units of 108M). The top panels give the associated relative uncertainty on the conversion. These data are tabulated for easier access in Tables A.1 and A.2, respectively. These factors are provided for all ALMA bands from band 8 to band 3, assuming the standard frequency.

This figure is made of several images, please see below:

Current usage metrics show cumulative count of Article Views (full-text article views including HTML views, PDF and ePub downloads, according to the available data) and Abstracts Views on Vision4Press platform.

Data correspond to usage on the plateform after 2015. The current usage metrics is available 48-96 hours after online publication and is updated daily on week days.

Initial download of the metrics may take a while.