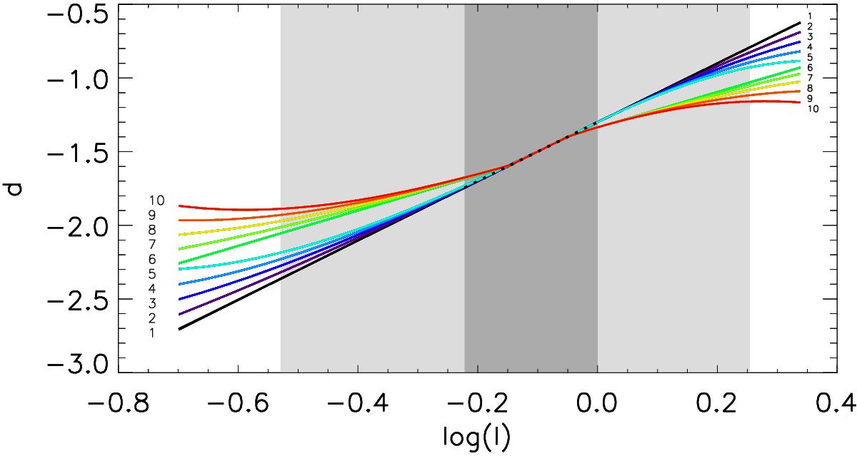
Fig. A.5

CC relations imposed on the data of subset 3. Note that the parts of each curve for log I< −0.1 (corresponding to under-exposure) can be combined with the part of the same or any other curve for log I ≥ −0.1 (over-exposure). E.g. 10, 1 implies very strong under-exposure, no over-exposure, while 10, 10 corresponds to very strong under- and overexposure. The dark (light) grey shaded areas denote the range of values of the QS (entire Rome/PSPT image taken on 21/08/2000 which was used to create the synthetic images shown in Figs. 7, 8). The dotted black line denotes the CC imposed on data of subset 1. Find details in Sect. 4.1.
Current usage metrics show cumulative count of Article Views (full-text article views including HTML views, PDF and ePub downloads, according to the available data) and Abstracts Views on Vision4Press platform.
Data correspond to usage on the plateform after 2015. The current usage metrics is available 48-96 hours after online publication and is updated daily on week days.
Initial download of the metrics may take a while.