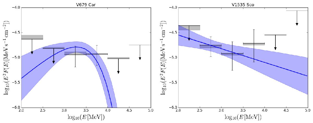
Fig. 14

SED for V679 Car (left) and V1535 Sco (right) using the duration obtained from Fig. 12. Both SEDs suffer from small statistics. The SED points derived with the standard Galactic diffuse model are shown as black crosses, and a power law with an exponential cutoff fit to these data is shown in blue. For V1535 Sco, the energy cutoff is not well constrained by the fit, and we therefore present the results of a simple power-law fit. The systematic uncertainties introduced by modeling the Galactic diffuse emission are estimated by repeating the analysis with alternative diffuse models. The envelopes of the results using the alternative models are shown as gray bands for each energy bin.
Current usage metrics show cumulative count of Article Views (full-text article views including HTML views, PDF and ePub downloads, according to the available data) and Abstracts Views on Vision4Press platform.
Data correspond to usage on the plateform after 2015. The current usage metrics is available 48-96 hours after online publication and is updated daily on week days.
Initial download of the metrics may take a while.