Free Access

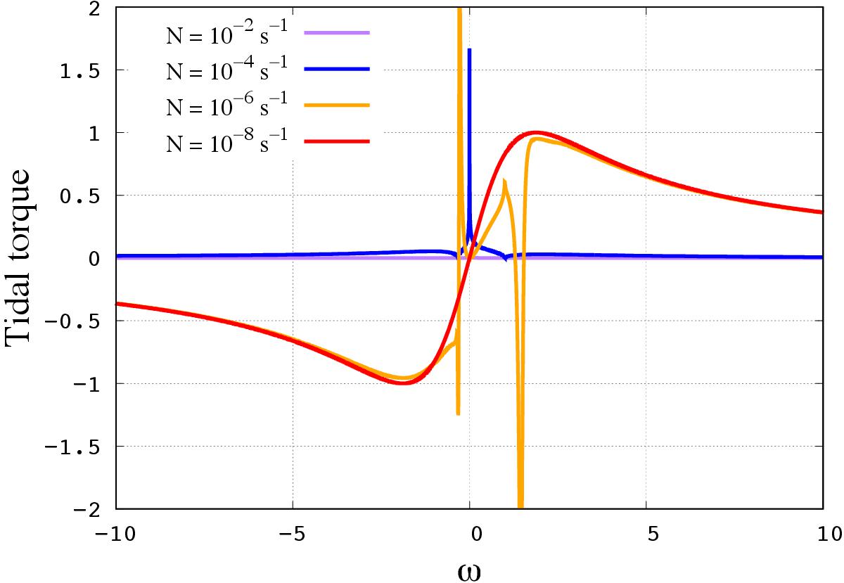
Fig. 2

image

Normalized tidal torque as a function of the frequency of the perturber ω = (Ω−norb) /norb for various values of the Brunt-Väisälä frequency from weak to strongly stable stratification, i.e., . The tidal torque is computed using the normalized function given by Eq. (71), and we consider the case of a Venus-like planet with the following set of values: norb = 1.991 × 10-7 s-1, Γ1 = 1.4 (perfect gas), H = 15.9 km, θ = π/ 3, α = 0 (westward propagating wave), σ0 = 7.5 × 10-7 s-1 (Leconte et al. 2015), and k = 2π/λ with λ = 1000 km.

Current usage metrics show cumulative count of Article Views (full-text article views including HTML views, PDF and ePub downloads, according to the available data) and Abstracts Views on Vision4Press platform.

Data correspond to usage on the plateform after 2015. The current usage metrics is available 48-96 hours after online publication and is updated daily on week days.

Initial download of the metrics may take a while.