Free Access

Fig. 3

image

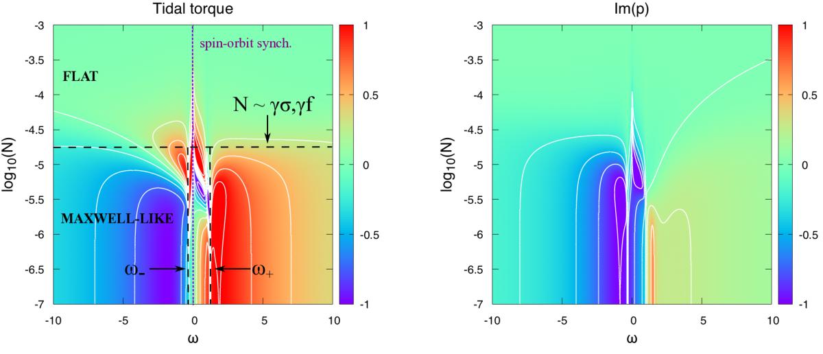
Normalized tidal torque (left panel) and imaginary part of the surface pressure oscillation (right panel) as functions of the normalized tidal frequency ω = (Ω−norb) /norb (horizontal axis) and Brunt-Väisälä frequency in logarithmic scale (vertical axis). The tidal torque and pressure variations are computed using the functions given by Eqs. (71) and (66), respectively. The torque is normalized by its maximum value in the asymptotic regime of neutral stratification. The imaginary part of pressure oscillations is normalized by its maxima in absolute value. We consider the case of a Venus-like planet with the following set of values: norb = 1.991 × 10-7 s-1, Γ1 = 1.4 (perfect gas), H = 15.9 km, θ = π/ 3, α = 0 (westward propagating wave), σ0 = 7.5 × 10-7 s-1 (Leconte et al. 2015), and k = 2π/λ with λ = 1000 km. The frequencies ω and ω+ are the resonant frequencies identified in Sect. 6 (see Eq. (76)).

This figure is made of several images, please see below:

Current usage metrics show cumulative count of Article Views (full-text article views including HTML views, PDF and ePub downloads, according to the available data) and Abstracts Views on Vision4Press platform.

Data correspond to usage on the plateform after 2015. The current usage metrics is available 48-96 hours after online publication and is updated daily on week days.

Initial download of the metrics may take a while.