Free Access

Fig. 5

image

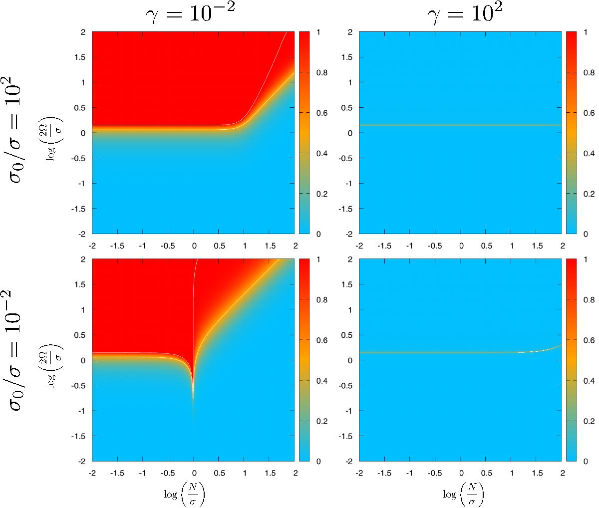
Relative difference between the parameters νTA and νNTA corresponding to the cases with and without traditional approximation respectively, as a function of the ratio N/σ (horizontal axis) and 2Ω /σ (vertical axis) in logarithmic scales, and for various values of the ratios σ0/σ and γ = τ/k. From left to right, log (γ) = {−2,2}. From bottom to top, . The normalized relative difference between νTA and νNTA is given by ς = |νTAνNTA|/|νTA + νNTA|. Blue (red) areas designate regions where the traditional approximation is (not) appropriate. Parameters: θ = π/ 4 and α = π/ 2.

This figure is made of several images, please see below:

Current usage metrics show cumulative count of Article Views (full-text article views including HTML views, PDF and ePub downloads, according to the available data) and Abstracts Views on Vision4Press platform.

Data correspond to usage on the plateform after 2015. The current usage metrics is available 48-96 hours after online publication and is updated daily on week days.

Initial download of the metrics may take a while.